O2W1
MatHub2d-931-O2W1
| Property |
Value |
| Space group |
(187, 'P-6m2') |
| Crystal system |
hexagonal |
| Magnetic |
No |
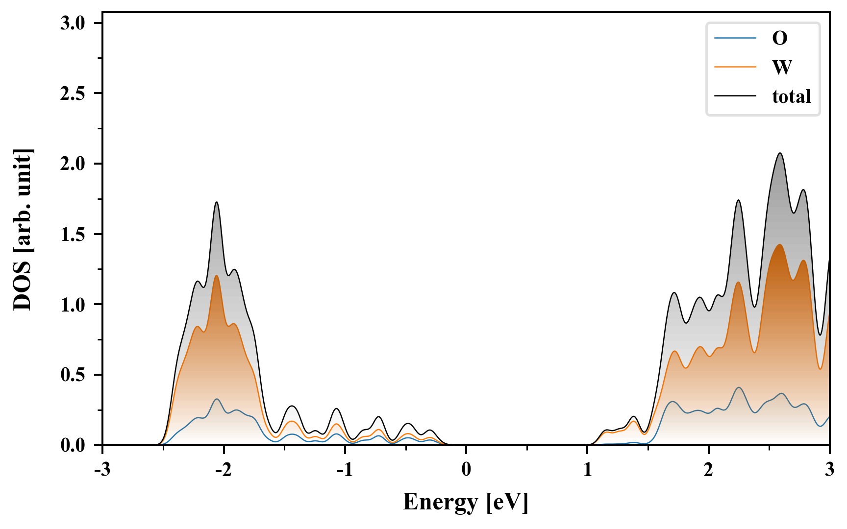
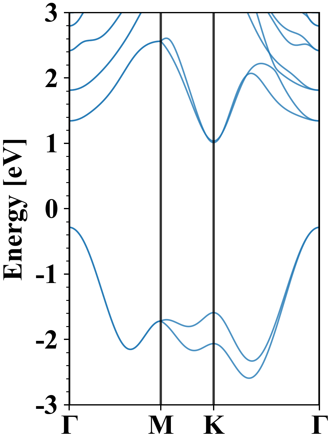
| Band gap (PBE) (eV) |
1.33 |
| Free energy (eV) |
-26.013 |
| Free energy / atom (eV) |
-8.671 |
Lattice Parameters (basic)
| a, b, c (Å): | 2.834 | 2.834 | 30.000 |
| α, β, γ (°): | 90.000 | 90.000 | 120.000 |
Lattice Parameters (computed)
| a, b, c (Å): | 2.843 | 2.843 | 30.000 |
| α, β, γ (°): | 90.000 | 90.000 | 120.000 |
| Property |
Value |
| Band gap |
1.33 eV |
| E-fermi |
-4.314 eV |
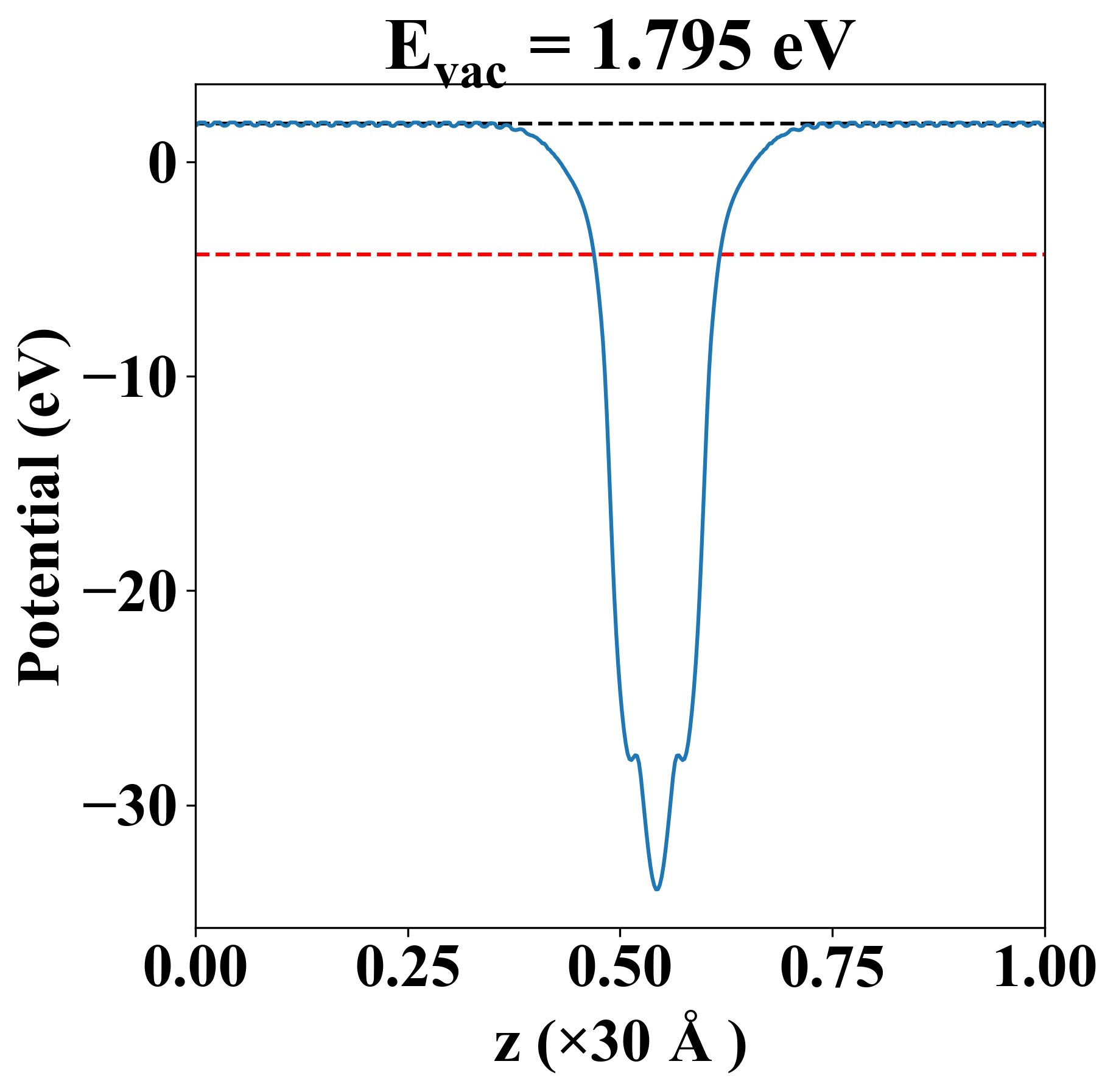
| Vacuum level |
1.795 eV |
| VBM |
-4.606 eV |
| CBM |
-3.281 eV |
| Work function |
6.109 eV |
| Direct gap |
No |
| Property |
Value |
| Band gap |
1.30 eV |
| E-fermi |
-4.362 eV |
| VBM |
-4.647 eV |
| CBM |
-3.351 eV |
| Free energy (eV) |
-26.173 |
| Free energy / atom (eV) |
-8.724 |
| Property |
Value |
| Band gap |
1.33 eV |
| E-fermi |
-4.314 eV |
| Vacuum level |
1.795 eV |
| VBM |
-4.606 eV |
| CBM |
-3.281 eV |
| Work function |
6.109 eV |
| Cij (N/m) |
xx |
yy |
xy |
| xx |
257.252 |
86.362 |
0.000 |
| yy |
86.362 |
257.252 |
-0.000 |
| xy |
0.000 |
-0.000 |
85.445 |
| Phonon mode at Γ point (THz) |
| -0.003 |
| -0.001 |
| -0.001 |
| 14.268 |
| 14.268 |
| 14.486 |
| 14.486 |
| 20.646 |
| 20.891 |
| Property |
Value |
| from where |
c2db-660 |