O2W1
MatHub2d-929-O2W1
| Property |
Value |
| Space group |
(164, 'P-3m1') |
| Crystal system |
hexagonal |
| Magnetic |
No |
| Band gap (PBE) (eV) |
0.00 |
| Free energy (eV) |
-24.894 |
| Free energy / atom (eV) |
-8.298 |
Lattice Parameters (basic)
| a, b, c (Å): | 2.903 | 2.903 | 30.000 |
| α, β, γ (°): | 90.000 | 90.000 | 120.000 |
Lattice Parameters (computed)
| a, b, c (Å): | 2.916 | 2.916 | 30.000 |
| α, β, γ (°): | 90.000 | 90.000 | 120.000 |
| Property |
Value |
| Band gap |
0.00 eV |
| E-fermi |
-4.287 eV |
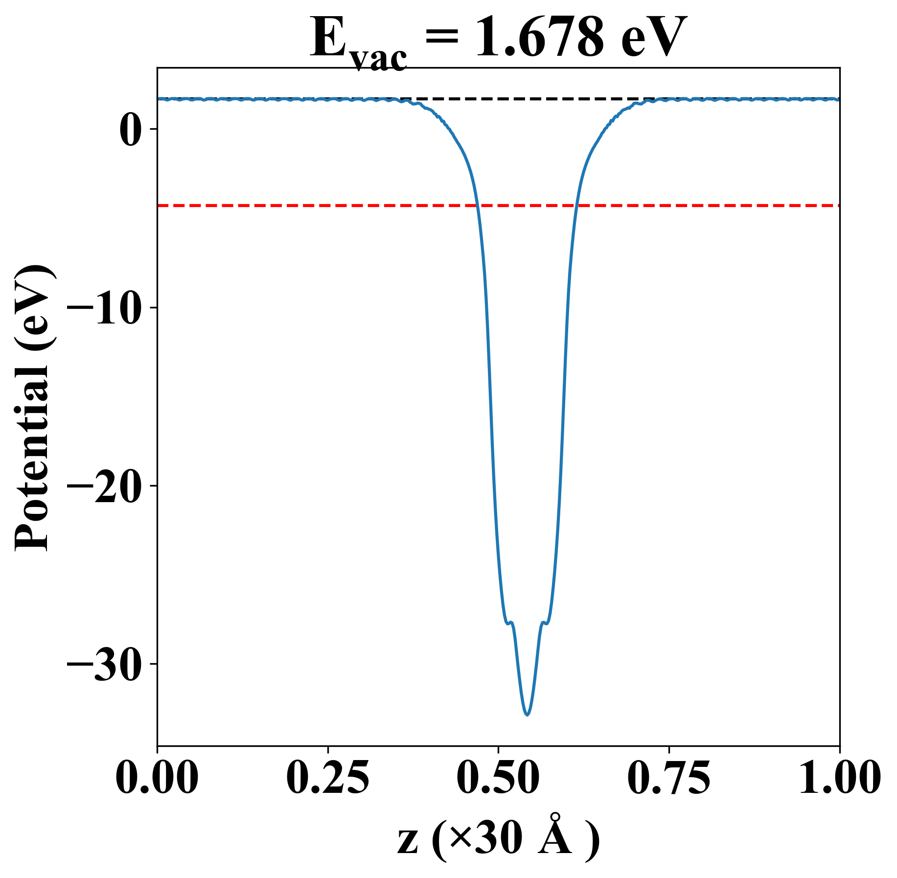
| Vacuum level |
1.678 eV |
| VBM |
-4.289 eV |
| CBM |
-4.283 eV |
| Work function |
5.964 eV |
| Direct gap |
No |
| Property |
Value |
| Band gap |
0.00 eV |
| E-fermi |
-4.287 eV |
| Vacuum level |
1.678 eV |
| VBM |
-4.289 eV |
| CBM |
-4.283 eV |
| Work function |
5.964 eV |
| Cij (N/m) |
xx |
yy |
xy |
| xx |
105.699 |
85.061 |
0.000 |
| yy |
85.061 |
105.699 |
0.000 |
| xy |
0.000 |
0.000 |
10.319 |
| Phonon mode at Γ point (THz) |
| -0.008 |
| -0.008 |
| -0.004 |
| 10.205 |
| 10.205 |
| 11.591 |
| 11.591 |
| 17.091 |
| 17.870 |
| Property |
Value |
| from where |
c2db-659 |