O2V1

MatHub2d-927-O2V1

Property Value
Space group (187, 'P-6m2')
Crystal system hexagonal
Magnetic Yes
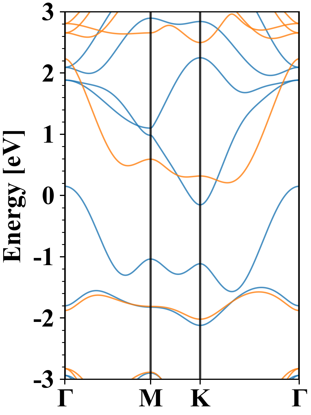
Band gap (PBE) (eV) 0.00
Free energy (eV) -22.456
Free energy / atom (eV) -7.485

Lattice Parameters (basic)

a, b, c (Å): 2.753 2.753 30.000
α, β, γ (°): 90.000 90.000 120.000

Lattice Parameters (computed)

a, b, c (Å): 2.779 2.779 30.000
α, β, γ (°): 90.000 90.000 120.000
O2V1
Property Value
Band gap 0.00 eV
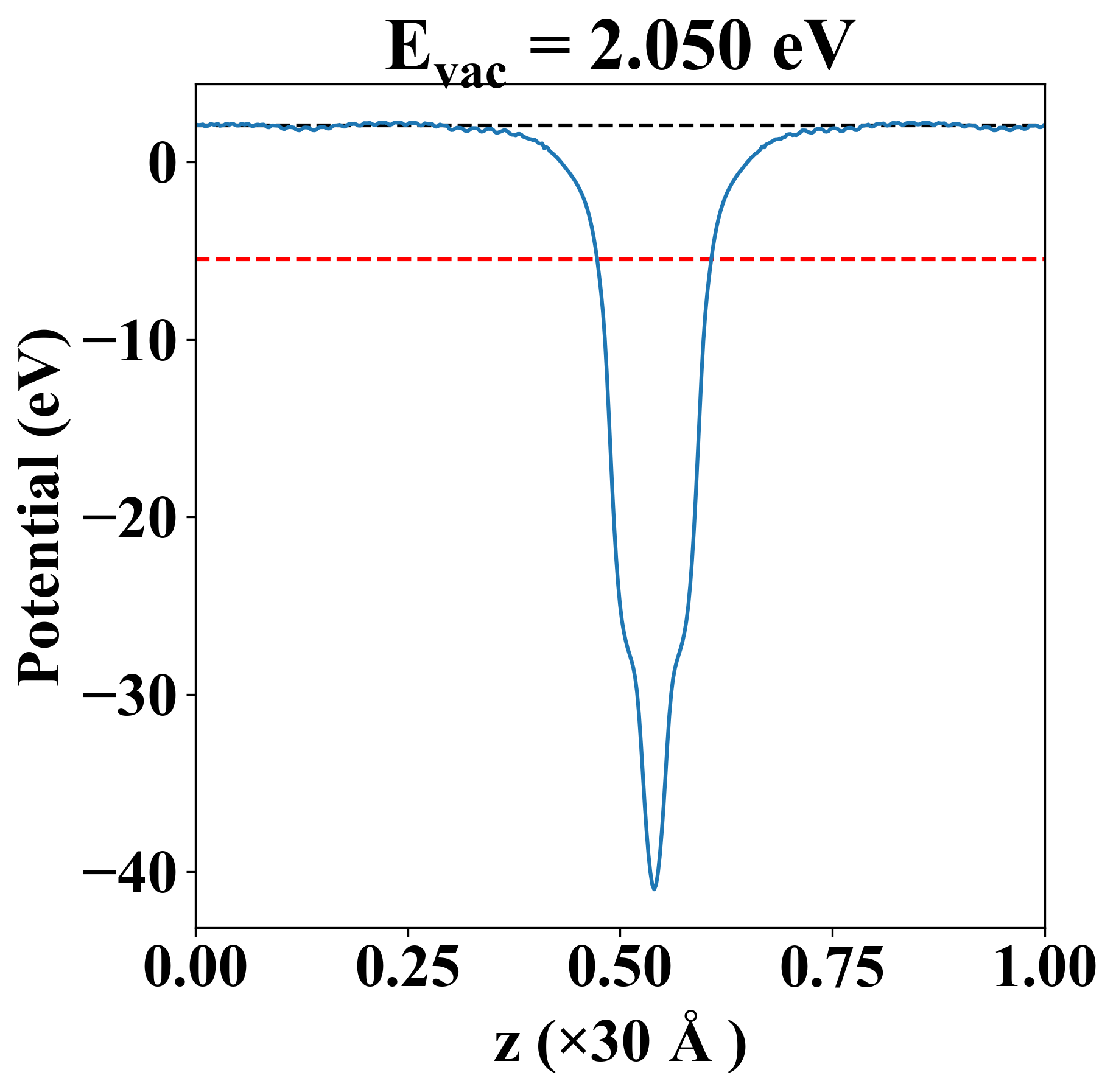
E-fermi -5.493 eV
Vacuum level 2.050 eV
VBM -5.504 eV
CBM -5.492 eV
Work function 7.542 eV
Direct gap No
O2V1
Property Value
Band gap 0.00 eV
E-fermi -5.493 eV
Vacuum level 2.050 eV
VBM -5.504 eV
CBM -5.492 eV
Work function 7.542 eV
Cij (N/m) xx yy xy
xx 182.126 70.435 0.000
yy 70.435 182.126 0.000
xy 0.000 0.000 55.846
Phonon mode at Γ point (THz)
-0.014
-0.014
-0.005
6.331
6.331
7.325
7.325
18.779
20.707

Property Value
from where c2db-650