O2V1
MatHub2d-926-O2V1
| Property |
Value |
| Space group |
(164, 'P-3m1') |
| Crystal system |
hexagonal |
| Magnetic |
Yes |
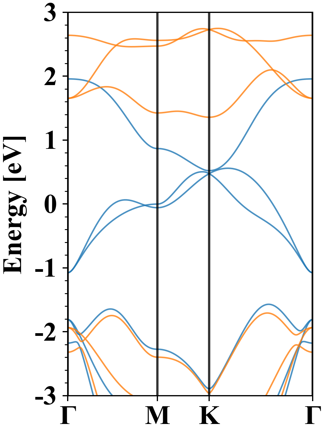
| Band gap (PBE) (eV) |
0.00 |
| Free energy (eV) |
-22.941 |
| Free energy / atom (eV) |
-7.647 |
Lattice Parameters (basic)
| a, b, c (Å): | 2.879 | 2.879 | 30.000 |
| α, β, γ (°): | 90.000 | 90.000 | 120.000 |
Lattice Parameters (computed)
| a, b, c (Å): | 2.973 | 2.973 | 30.000 |
| α, β, γ (°): | 90.000 | 90.000 | 120.000 |
| Property |
Value |
| Band gap |
0.00 eV |
| E-fermi |
-5.106 eV |
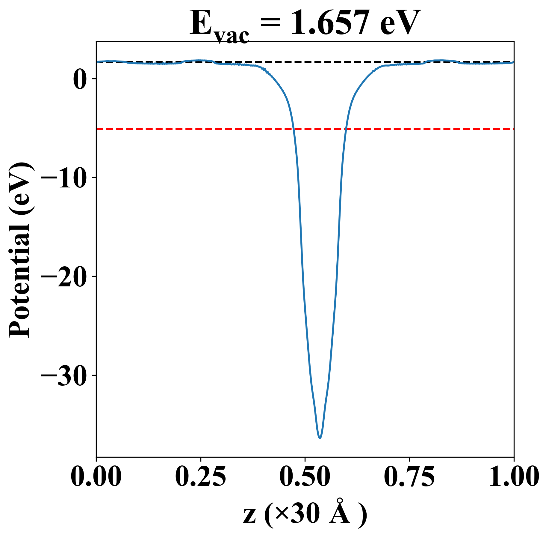
| Vacuum level |
1.657 eV |
| VBM |
-5.106 eV |
| CBM |
-5.105 eV |
| Work function |
6.763 eV |
| Direct gap |
No |
| Property |
Value |
| Band gap |
0.00 eV |
| E-fermi |
-5.106 eV |
| Vacuum level |
1.657 eV |
| VBM |
-5.106 eV |
| CBM |
-5.105 eV |
| Work function |
6.763 eV |
| Cij (N/m) |
xx |
yy |
xy |
| xx |
101.993 |
15.043 |
-0.000 |
| yy |
15.043 |
101.993 |
-0.000 |
| xy |
-0.000 |
-0.000 |
43.475 |
| Phonon mode at Γ point (THz) |
| -8.368 |
| -8.368 |
| -0.018 |
| 0.010 |
| 0.010 |
| 10.666 |
| 10.666 |
| 14.703 |
| 17.478 |
| Property |
Value |
| from where |
shu-70 |