O2Tl2
MatHub2d-925-O2Tl2
| Property |
Value |
| Space group |
(187, 'P-6m2') |
| Crystal system |
hexagonal |
| Magnetic |
No |
| Band gap (PBE) (eV) |
0.00 |
| Free energy (eV) |
-16.077 |
| Free energy / atom (eV) |
-4.019 |
Lattice Parameters (basic)
| a, b, c (Å): | 3.613 | 3.613 | 30.000 |
| α, β, γ (°): | 90.000 | 90.000 | 120.000 |
Lattice Parameters (computed)
| a, b, c (Å): | 3.627 | 3.627 | 30.000 |
| α, β, γ (°): | 90.000 | 90.000 | 120.000 |
| Property |
Value |
| Band gap |
0.00 eV |
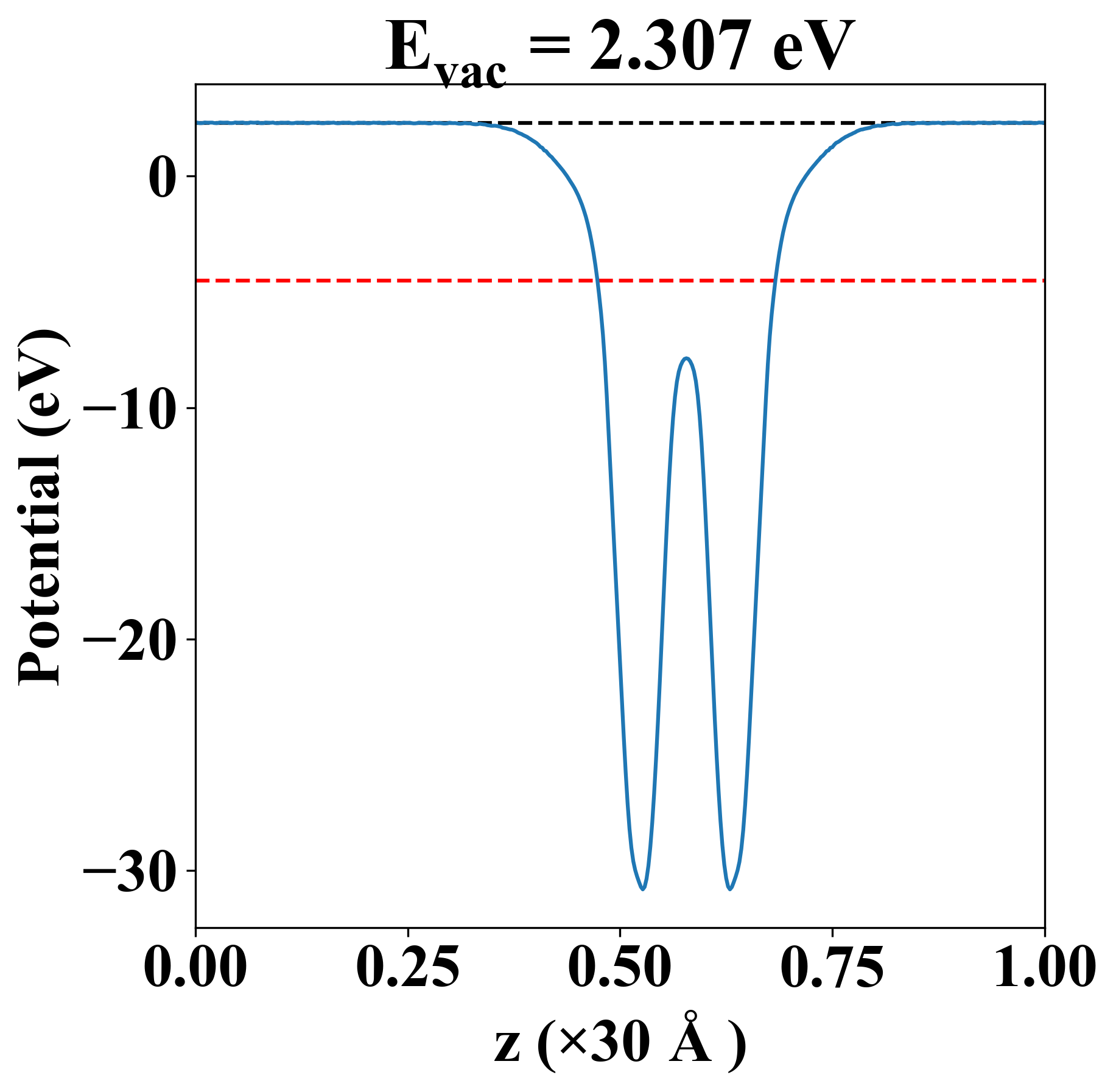
| E-fermi |
-4.497 eV |
| Vacuum level |
2.307 eV |
| VBM |
-4.498 eV |
| CBM |
-4.497 eV |
| Work function |
6.805 eV |
| Direct gap |
No |
| Property |
Value |
| Band gap |
0.00 eV |
| E-fermi |
-4.497 eV |
| Vacuum level |
2.307 eV |
| VBM |
-4.498 eV |
| CBM |
-4.497 eV |
| Work function |
6.805 eV |
| Cij (N/m) |
xx |
yy |
xy |
| xx |
59.227 |
22.167 |
0.000 |
| yy |
22.167 |
59.227 |
0.000 |
| xy |
0.000 |
0.000 |
18.530 |
| Phonon mode at Γ point (THz) |
| -0.004 |
| -0.004 |
| -0.003 |
| 0.746 |
| 0.746 |
| 2.724 |
| 8.665 |
| 9.248 |
| 9.626 |
| 9.626 |
| 9.839 |
| 9.839 |
| Property |
Value |
| from where |
c2db-1706 |