O2Ti1
MatHub2d-923-O2Ti1
| Property |
Value |
| Space group |
(191, 'P6/mmm') |
| Crystal system |
hexagonal |
| Magnetic |
Yes |
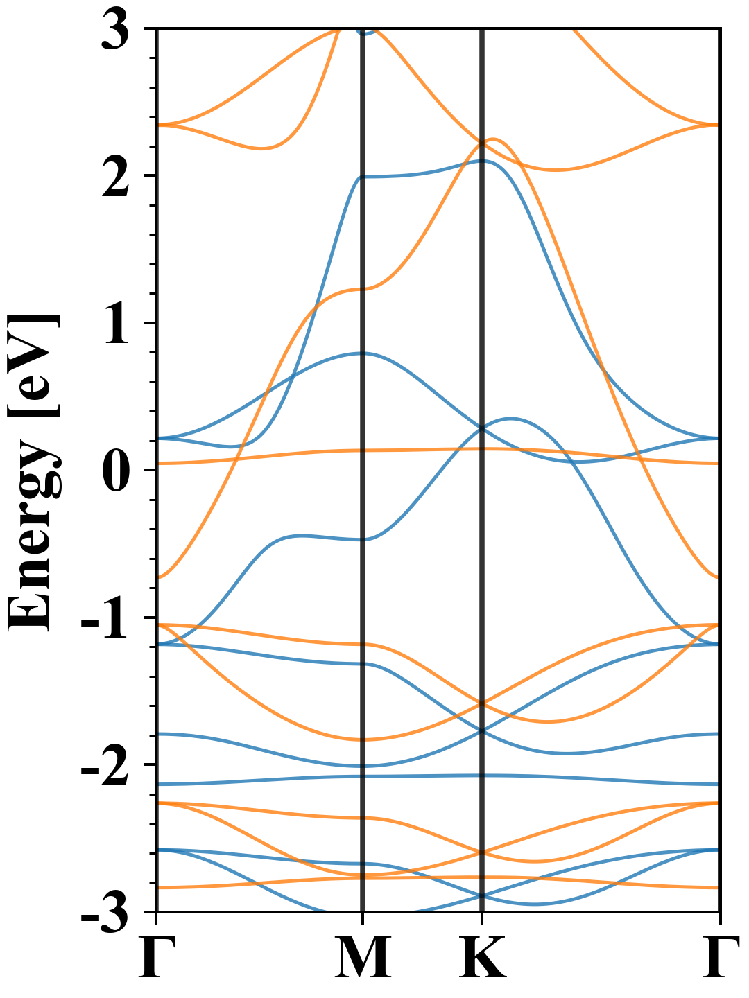
| Band gap (PBE) (eV) |
0.00 |
| Free energy (eV) |
-15.368 |
| Free energy / atom (eV) |
-5.123 |
Lattice Parameters (basic)
| a, b, c (Å): | 3.422 | 3.422 | 30.000 |
| α, β, γ (°): | 90.000 | 90.000 | 120.000 |
Lattice Parameters (computed)
| a, b, c (Å): | 3.981 | 3.981 | 30.000 |
| α, β, γ (°): | 90.000 | 90.000 | 120.000 |
| Property |
Value |
| Band gap |
0.00 eV |
| E-fermi |
-6.540 eV |
| Vacuum level |
1.098 eV |
| VBM |
-6.541 eV |
| CBM |
-6.530 eV |
| Work function |
7.638 eV |
| Direct gap |
No |
| Property |
Value |
| Band gap |
0.00 eV |
| E-fermi |
-6.540 eV |
| Vacuum level |
1.098 eV |
| VBM |
-6.541 eV |
| CBM |
-6.530 eV |
| Work function |
7.638 eV |
| Cij (N/m) |
xx |
yy |
xy |
| xx |
0.428 |
0.313 |
-0.000 |
| yy |
0.313 |
0.428 |
-0.000 |
| xy |
-0.000 |
-0.000 |
0.057 |
| Phonon mode at Γ point (THz) |
| -13.129 |
| -13.129 |
| -3.877 |
| -3.877 |
| -0.014 |
| 0.007 |
| 0.007 |
| 21.749 |
| 23.864 |
| Property |
Value |
| from where |
JVASP-765 |