O2Ti1
MatHub2d-922-O2Ti1
| Property |
Value |
| Space group |
(187, 'P-6m2') |
| Crystal system |
hexagonal |
| Magnetic |
No |
| Band gap (PBE) (eV) |
1.49 |
| Free energy (eV) |
-22.036 |
| Free energy / atom (eV) |
-7.345 |
Lattice Parameters (basic)
| a, b, c (Å): | 2.887 | 2.887 | 30.000 |
| α, β, γ (°): | 90.000 | 90.000 | 120.000 |
Lattice Parameters (computed)
| a, b, c (Å): | 2.933 | 2.933 | 30.000 |
| α, β, γ (°): | 90.000 | 90.000 | 120.000 |
| Property |
Value |
| Band gap |
1.49 eV |
| E-fermi |
-6.324 eV |
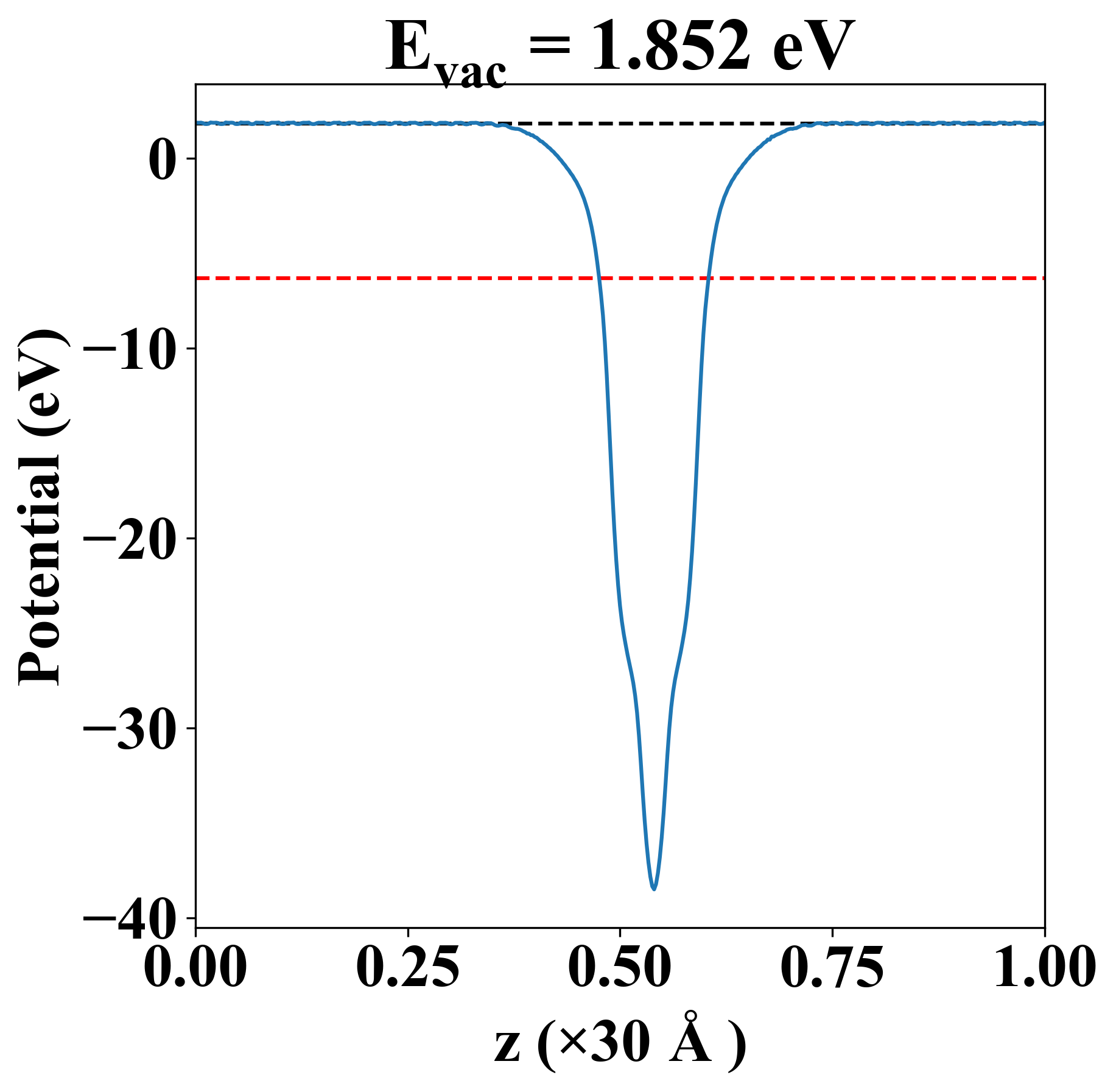
| Vacuum level |
1.852 eV |
| VBM |
-6.624 eV |
| CBM |
-5.129 eV |
| Work function |
8.176 eV |
| Direct gap |
No |
| Property |
Value |
| Band gap |
1.49 eV |
| E-fermi |
-6.256 eV |
| VBM |
-6.630 eV |
| CBM |
-5.145 eV |
| Free energy (eV) |
-22.041 |
| Free energy / atom (eV) |
-7.347 |
| Property |
Value |
| Band gap |
1.49 eV |
| E-fermi |
-6.324 eV |
| Vacuum level |
1.852 eV |
| VBM |
-6.624 eV |
| CBM |
-5.129 eV |
| Work function |
8.176 eV |
| Cij (N/m) |
xx |
yy |
xy |
| xx |
154.528 |
68.468 |
0.000 |
| yy |
68.468 |
154.528 |
0.000 |
| xy |
0.000 |
0.000 |
43.030 |
| Phonon mode at Γ point (THz) |
| -9.481 |
| -9.481 |
| -0.005 |
| 0.001 |
| 0.001 |
| 11.075 |
| 11.075 |
| 16.871 |
| 20.724 |
| Property |
Value |
| from where |
c2db-642 |