O2Ti1
MatHub2d-921-O2Ti1
| Property |
Value |
| Space group |
(164, 'P-3m1') |
| Crystal system |
hexagonal |
| Magnetic |
No |
| Band gap (PBE) (eV) |
3.27 |
| Free energy (eV) |
-23.583 |
| Free energy / atom (eV) |
-7.861 |
Lattice Parameters (basic)
| a, b, c (Å): | 2.992 | 2.992 | 30.000 |
| α, β, γ (°): | 90.000 | 90.000 | 120.000 |
Lattice Parameters (computed)
| a, b, c (Å): | 3.043 | 3.043 | 30.000 |
| α, β, γ (°): | 90.000 | 90.000 | 120.000 |
| Property |
Value |
| Band gap |
3.27 eV |
| E-fermi |
-6.267 eV |
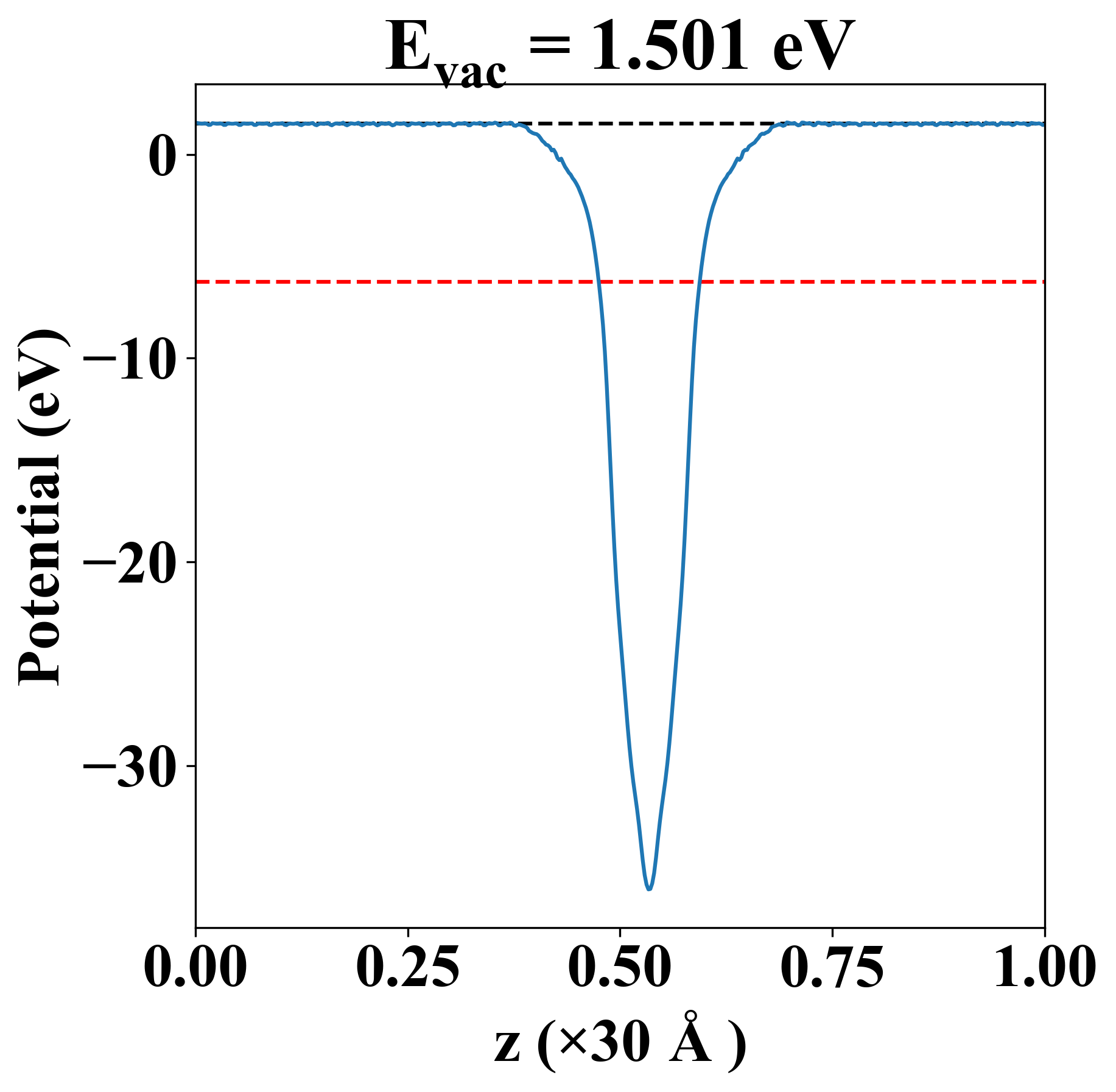
| Vacuum level |
1.501 eV |
| VBM |
-6.668 eV |
| CBM |
-3.397 eV |
| Work function |
7.768 eV |
| Direct gap |
No |
| Property |
Value |
| Band gap |
3.21 eV |
| E-fermi |
-6.156 eV |
| VBM |
-6.591 eV |
| CBM |
-3.377 eV |
| Free energy (eV) |
-23.584 |
| Free energy / atom (eV) |
-7.861 |
| Property |
Value |
| Band gap |
3.27 eV |
| E-fermi |
-6.267 eV |
| Vacuum level |
1.501 eV |
| VBM |
-6.668 eV |
| CBM |
-3.397 eV |
| Work function |
7.768 eV |
| Cij (N/m) |
xx |
yy |
xy |
| xx |
147.257 |
36.699 |
0.000 |
| yy |
36.699 |
147.257 |
-0.000 |
| xy |
0.000 |
-0.000 |
55.279 |
| Phonon mode at Γ point (THz) |
| -3.168 |
| -3.168 |
| -0.006 |
| 0.016 |
| 0.016 |
| 13.663 |
| 13.663 |
| 16.551 |
| 17.530 |
| Property |
Value |
| from where |
JVASP-5902 |