O2Ta2
MatHub2d-920-O2Ta2
| Property |
Value |
| Space group |
(187, 'P-6m2') |
| Crystal system |
hexagonal |
| Magnetic |
Yes |
| Band gap (PBE) (eV) |
0.00 |
| Free energy (eV) |
-35.727 |
| Free energy / atom (eV) |
-8.932 |
Lattice Parameters (basic)
| a, b, c (Å): | 3.132 | 3.132 | 30.000 |
| α, β, γ (°): | 90.000 | 90.000 | 120.000 |
Lattice Parameters (computed)
| a, b, c (Å): | 3.140 | 3.140 | 30.000 |
| α, β, γ (°): | 90.000 | 90.000 | 120.000 |
| Property |
Value |
| Band gap |
0.00 eV |
| E-fermi |
-2.439 eV |
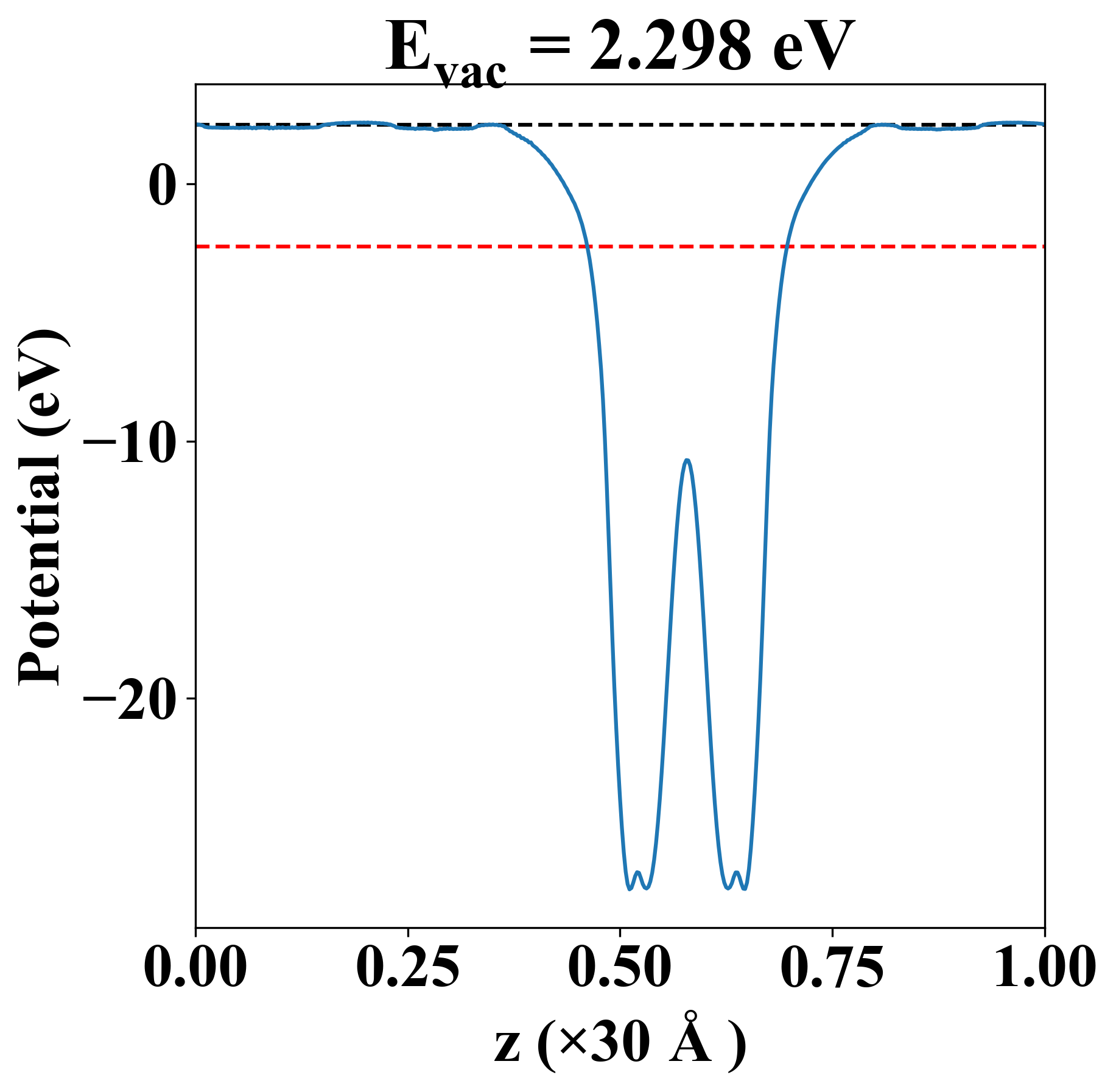
| Vacuum level |
2.298 eV |
| VBM |
-2.441 eV |
| CBM |
-2.438 eV |
| Work function |
4.736 eV |
| Direct gap |
No |
| Property |
Value |
| Band gap |
0.00 eV |
| E-fermi |
-2.439 eV |
| Vacuum level |
2.298 eV |
| VBM |
-2.441 eV |
| CBM |
-2.438 eV |
| Work function |
4.736 eV |
| Cij (N/m) |
xx |
yy |
xy |
| xx |
187.824 |
32.263 |
0.000 |
| yy |
32.263 |
187.824 |
0.000 |
| xy |
0.000 |
0.000 |
77.781 |
| Phonon mode at Γ point (THz) |
| -4.171 |
| -4.171 |
| -2.080 |
| -2.080 |
| -0.006 |
| 0.020 |
| 0.020 |
| 2.519 |
| 2.519 |
| 4.427 |
| 13.398 |
| 15.436 |
| Property |
Value |
| from where |
c2db-1694 |