O2Ta1
MatHub2d-919-O2Ta1
| Property |
Value |
| Space group |
(187, 'P-6m2') |
| Crystal system |
hexagonal |
| Magnetic |
Yes |
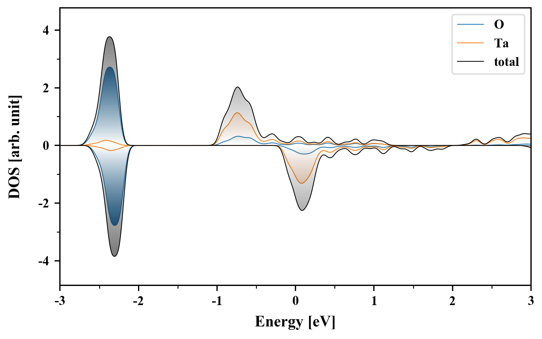
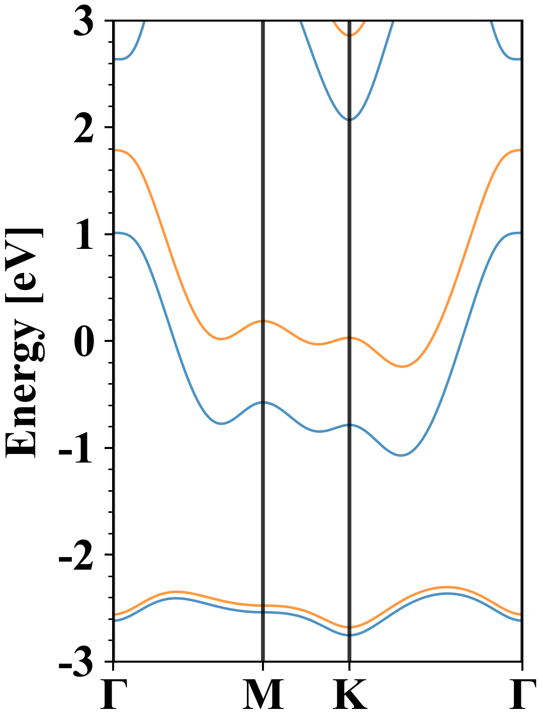
| Band gap (PBE) (eV) |
0.00 |
| Free energy (eV) |
-26.924 |
| Free energy / atom (eV) |
-8.975 |
Lattice Parameters (basic)
| a, b, c (Å): | 2.974 | 2.974 | 30.000 |
| α, β, γ (°): | 90.000 | 90.000 | 120.000 |
Lattice Parameters (computed)
| a, b, c (Å): | 2.992 | 2.992 | 30.000 |
| α, β, γ (°): | 90.000 | 90.000 | 120.000 |
| Property |
Value |
| Band gap |
0.00 eV |
| E-fermi |
-4.822 eV |
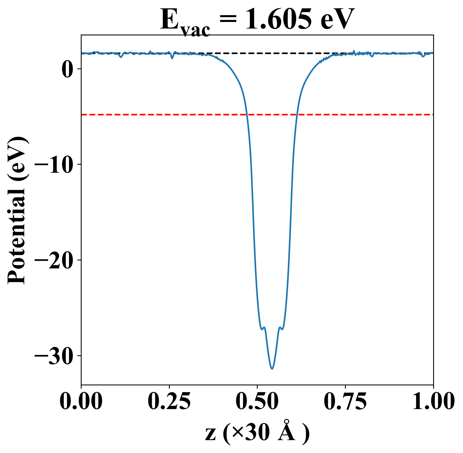
| Vacuum level |
1.605 eV |
| VBM |
-4.823 eV |
| CBM |
-4.822 eV |
| Work function |
6.427 eV |
| Direct gap |
No |
| Property |
Value |
| Band gap |
0.00 eV |
| E-fermi |
-4.822 eV |
| Vacuum level |
1.605 eV |
| VBM |
-4.823 eV |
| CBM |
-4.822 eV |
| Work function |
6.427 eV |
| Cij (N/m) |
xx |
yy |
xy |
| xx |
204.761 |
79.970 |
-0.000 |
| yy |
79.970 |
204.761 |
-0.000 |
| xy |
-0.000 |
-0.000 |
62.396 |
| Phonon mode at Γ point (THz) |
| -6.951 |
| -6.951 |
| 0.000 |
| 0.056 |
| 0.056 |
| 9.760 |
| 9.760 |
| 17.672 |
| 19.740 |
| Property |
Value |
| from where |
c2db-633 |