O2Ta1
MatHub2d-918-O2Ta1
| Property |
Value |
| Space group |
(164, 'P-3m1') |
| Crystal system |
hexagonal |
| Magnetic |
Yes |
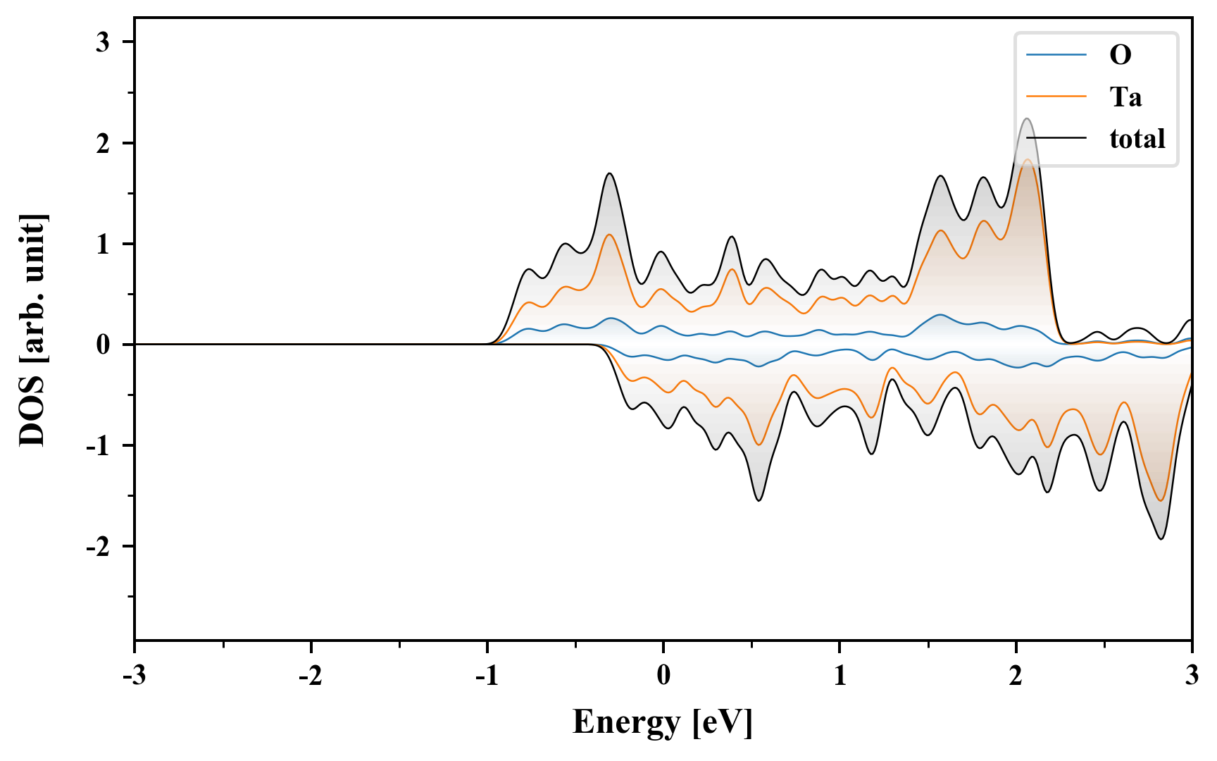
| Band gap (PBE) (eV) |
0.00 |
| Free energy (eV) |
-26.940 |
| Free energy / atom (eV) |
-8.980 |
Lattice Parameters (basic)
| a, b, c (Å): | 3.046 | 3.046 | 30.000 |
| α, β, γ (°): | 90.000 | 90.000 | 120.000 |
Lattice Parameters (computed)
| a, b, c (Å): | 3.083 | 3.083 | 30.000 |
| α, β, γ (°): | 90.000 | 90.000 | 120.000 |
| Property |
Value |
| Band gap |
0.00 eV |
| E-fermi |
-3.344 eV |
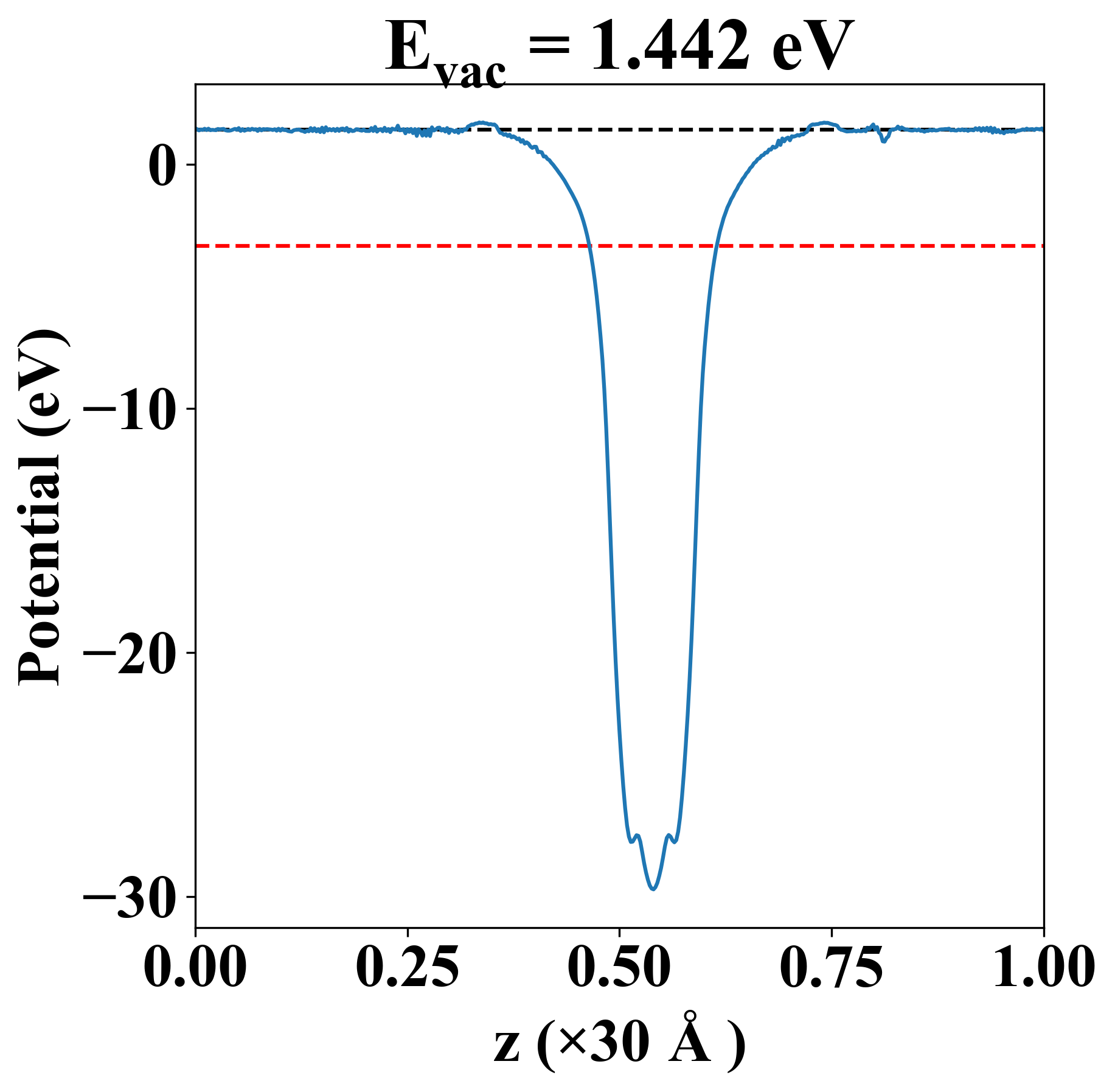
| Vacuum level |
1.442 eV |
| VBM |
-3.347 eV |
| CBM |
-3.341 eV |
| Work function |
4.786 eV |
| Direct gap |
No |
| Property |
Value |
| Band gap |
0.00 eV |
| E-fermi |
-3.344 eV |
| Vacuum level |
1.442 eV |
| VBM |
-3.347 eV |
| CBM |
-3.341 eV |
| Work function |
4.786 eV |
| Cij (N/m) |
xx |
yy |
xy |
| xx |
86.828 |
76.011 |
-0.000 |
| yy |
76.011 |
86.828 |
0.000 |
| xy |
-0.000 |
0.000 |
5.408 |
| Phonon mode at Γ point (THz) |
| -0.006 |
| -0.006 |
| -0.000 |
| 8.359 |
| 8.359 |
| 9.454 |
| 9.454 |
| 16.453 |
| 17.065 |
| Property |
Value |
| from where |
c2db-632 |