O2Sn1
MatHub2d-917-O2Sn1
| Property |
Value |
| Space group |
(187, 'P-6m2') |
| Crystal system |
hexagonal |
| Magnetic |
No |
| Band gap (PBE) (eV) |
0.81 |
| Free energy (eV) |
-17.360 |
| Free energy / atom (eV) |
-5.787 |
Lattice Parameters (basic)
| a, b, c (Å): | 3.094 | 3.094 | 30.000 |
| α, β, γ (°): | 90.000 | 90.000 | 120.000 |
Lattice Parameters (computed)
| a, b, c (Å): | 3.045 | 3.045 | 30.000 |
| α, β, γ (°): | 90.000 | 90.000 | 120.000 |
| Property |
Value |
| Band gap |
0.81 eV |
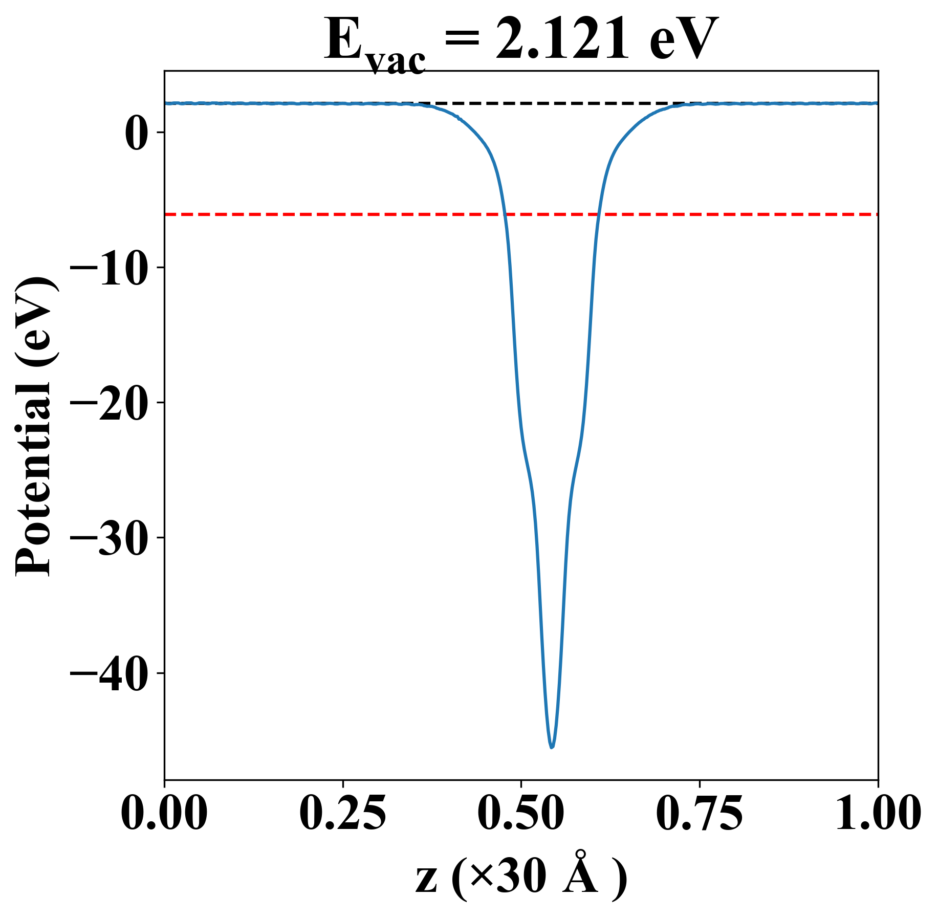
| E-fermi |
-6.091 eV |
| Vacuum level |
2.121 eV |
| VBM |
-6.343 eV |
| CBM |
-5.530 eV |
| Work function |
8.213 eV |
| Direct gap |
No |
| Property |
Value |
| Band gap |
0.81 eV |
| E-fermi |
-6.008 eV |
| VBM |
-6.352 eV |
| CBM |
-5.537 eV |
| Free energy (eV) |
-17.400 |
| Free energy / atom (eV) |
-5.800 |
| Property |
Value |
| Band gap |
0.81 eV |
| E-fermi |
-6.091 eV |
| Vacuum level |
2.121 eV |
| VBM |
-6.343 eV |
| CBM |
-5.530 eV |
| Work function |
8.213 eV |
| Cij (N/m) |
xx |
yy |
xy |
| xx |
172.710 |
63.333 |
0.000 |
| yy |
63.333 |
172.710 |
-0.000 |
| xy |
0.000 |
-0.000 |
54.688 |
| Phonon mode at Γ point (THz) |
| -0.007 |
| -0.007 |
| 0.001 |
| 3.524 |
| 3.524 |
| 11.061 |
| 11.061 |
| 16.364 |
| 19.534 |
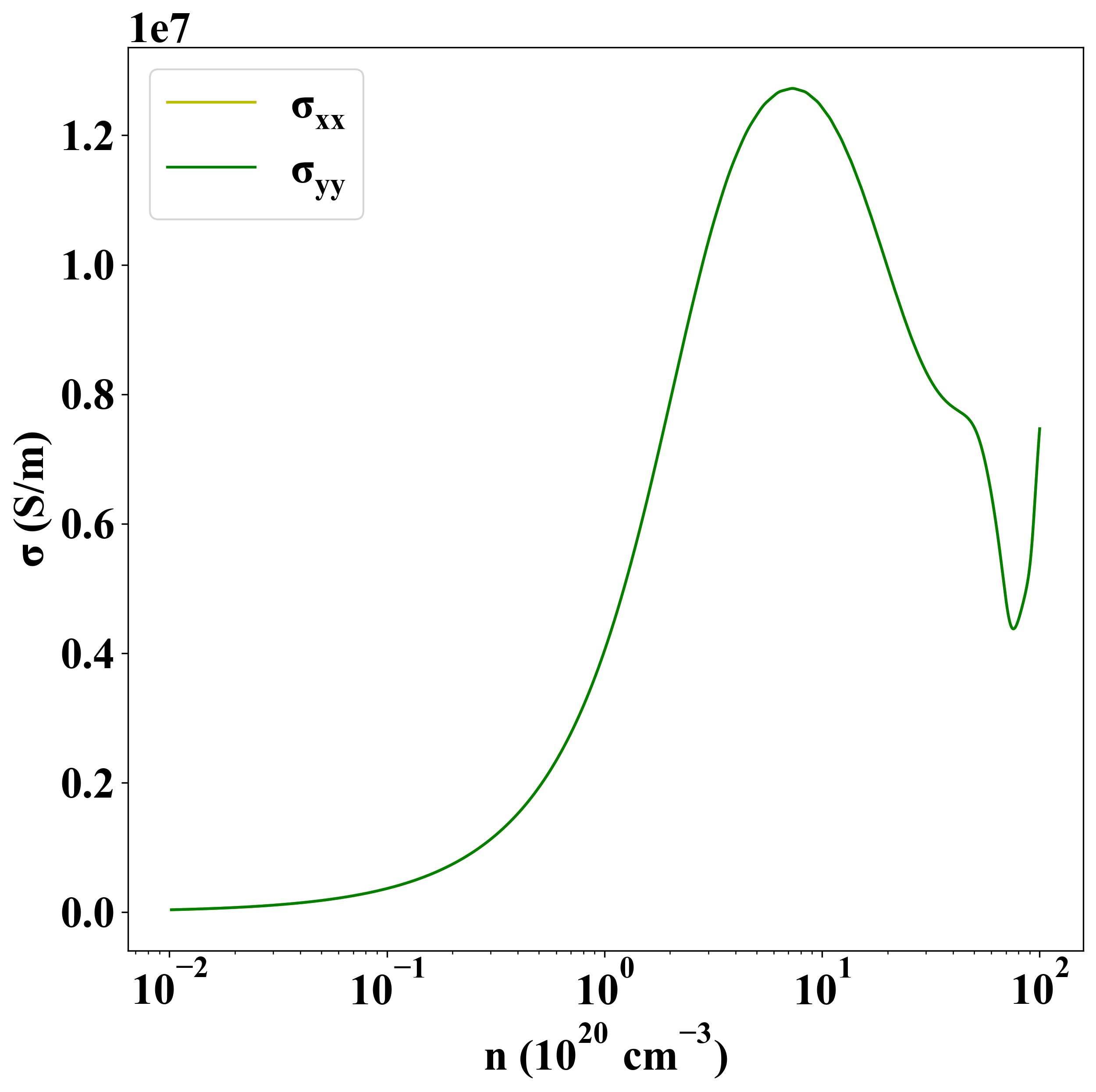
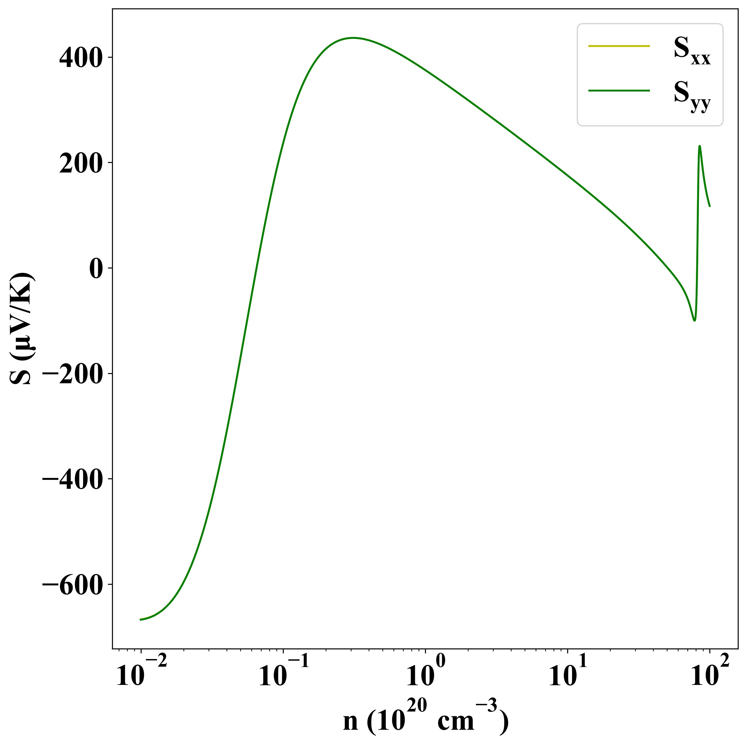
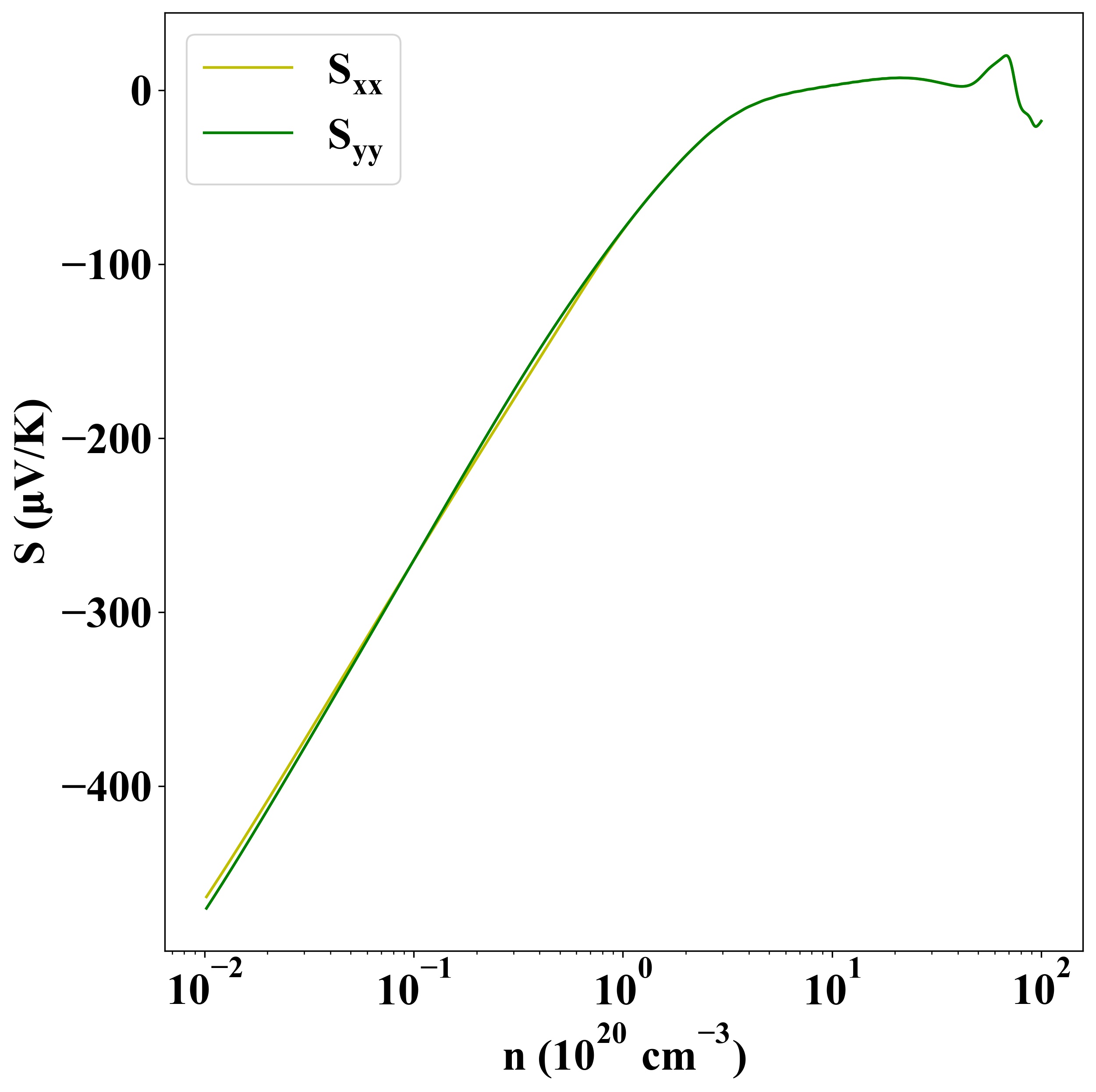
| Carrier type |
C2D (N/m) |
Edef (eV) |
μ (cm2V-1s-1) |
| x |
y |
x |
y |
x |
y |
| hole |
163.06 |
162.90 |
3.60 |
3.60 |
-4.11 |
-4.12 |
| electron |
-3.36 |
-3.43 |
2098.89 |
2014.74 |
| Property |
Value |
| from where |
c2db-625 |