O2Sc2
MatHub2d-915-O2Sc2
| Property |
Value |
| Space group |
(187, 'P-6m2') |
| Crystal system |
hexagonal |
| Magnetic |
No |
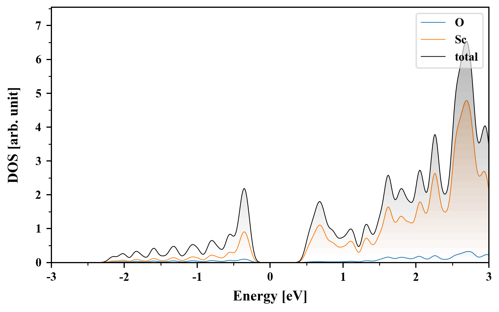
| Band gap (PBE) (eV) |
0.77 |
| Free energy (eV) |
-30.674 |
| Free energy / atom (eV) |
-7.669 |
Lattice Parameters (basic)
| a, b, c (Å): | 3.326 | 3.326 | 30.000 |
| α, β, γ (°): | 90.000 | 90.000 | 120.000 |
Lattice Parameters (computed)
| a, b, c (Å): | 3.382 | 3.382 | 30.000 |
| α, β, γ (°): | 90.000 | 90.000 | 120.000 |
| Property |
Value |
| Band gap |
0.77 eV |
| E-fermi |
-1.841 eV |
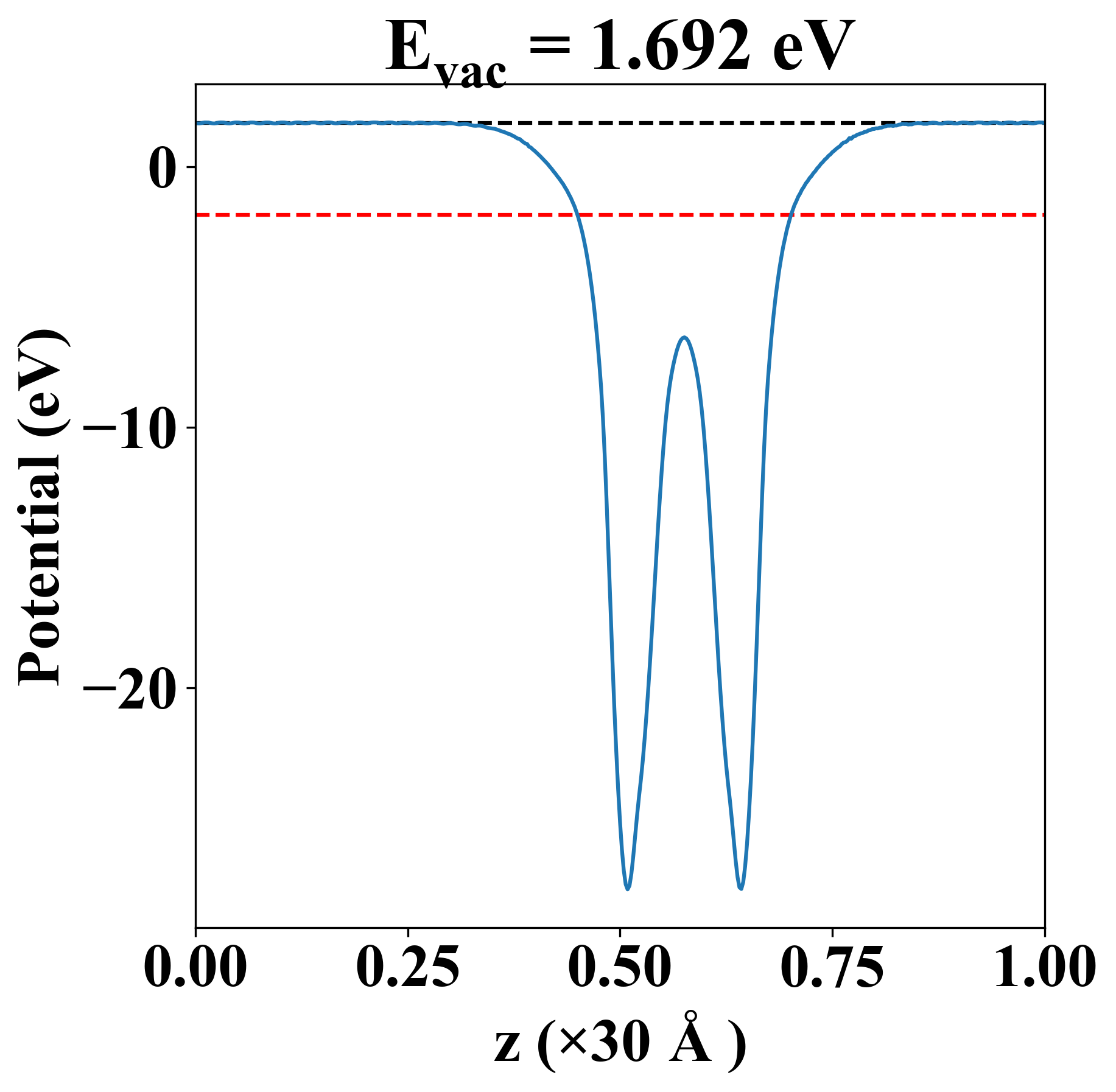
| Vacuum level |
1.692 eV |
| VBM |
-2.128 eV |
| CBM |
-1.360 eV |
| Work function |
3.533 eV |
| Direct gap |
No |
| Property |
Value |
| Band gap |
0.77 eV |
| E-fermi |
-1.773 eV |
| VBM |
-2.127 eV |
| CBM |
-1.361 eV |
| Free energy (eV) |
-30.681 |
| Free energy / atom (eV) |
-7.670 |
| Property |
Value |
| Band gap |
0.77 eV |
| E-fermi |
-1.841 eV |
| Vacuum level |
1.692 eV |
| VBM |
-2.128 eV |
| CBM |
-1.360 eV |
| Work function |
3.533 eV |
| Cij (N/m) |
xx |
yy |
xy |
| xx |
127.165 |
47.446 |
0.000 |
| yy |
47.446 |
127.165 |
0.000 |
| xy |
0.000 |
0.000 |
39.859 |
| Phonon mode at Γ point (THz) |
| -0.528 |
| -0.528 |
| -0.010 |
| -0.010 |
| -0.003 |
| 4.216 |
| 12.688 |
| 12.706 |
| 12.741 |
| 12.741 |
| 12.835 |
| 12.835 |
| Carrier type |
C2D (N/m) |
Edef (eV) |
μ (cm2V-1s-1) |
| x |
y |
x |
y |
x |
y |
| hole |
128.56 |
126.13 |
9.45 |
10.62 |
-14.69 |
-11.42 |
| electron |
3.36 |
6.47 |
106.80 |
28.35 |
| Property |
Value |
| from where |
c2db-1690 |