O2Sc1
MatHub2d-914-O2Sc1
| Property |
Value |
| Space group |
(187, 'P-6m2') |
| Crystal system |
hexagonal |
| Magnetic |
Yes |
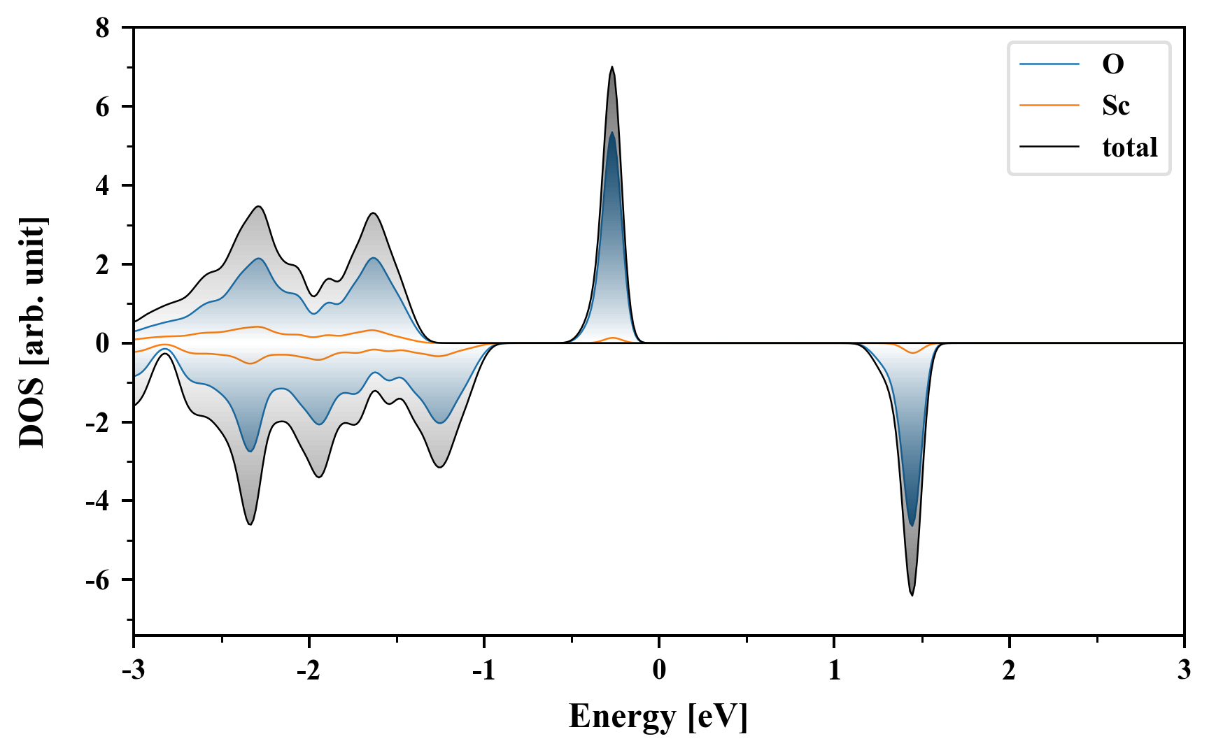
| Band gap (PBE) (eV) |
0.00 |
| Free energy (eV) |
-21.999 |
| Free energy / atom (eV) |
-7.333 |
Lattice Parameters (basic)
| a, b, c (Å): | 3.217 | 3.217 | 30.000 |
| α, β, γ (°): | 90.000 | 90.000 | 120.000 |
Lattice Parameters (computed)
| a, b, c (Å): | 3.278 | 3.278 | 30.000 |
| α, β, γ (°): | 90.000 | 90.000 | 120.000 |
| Property |
Value |
| Band gap |
0.00 eV |
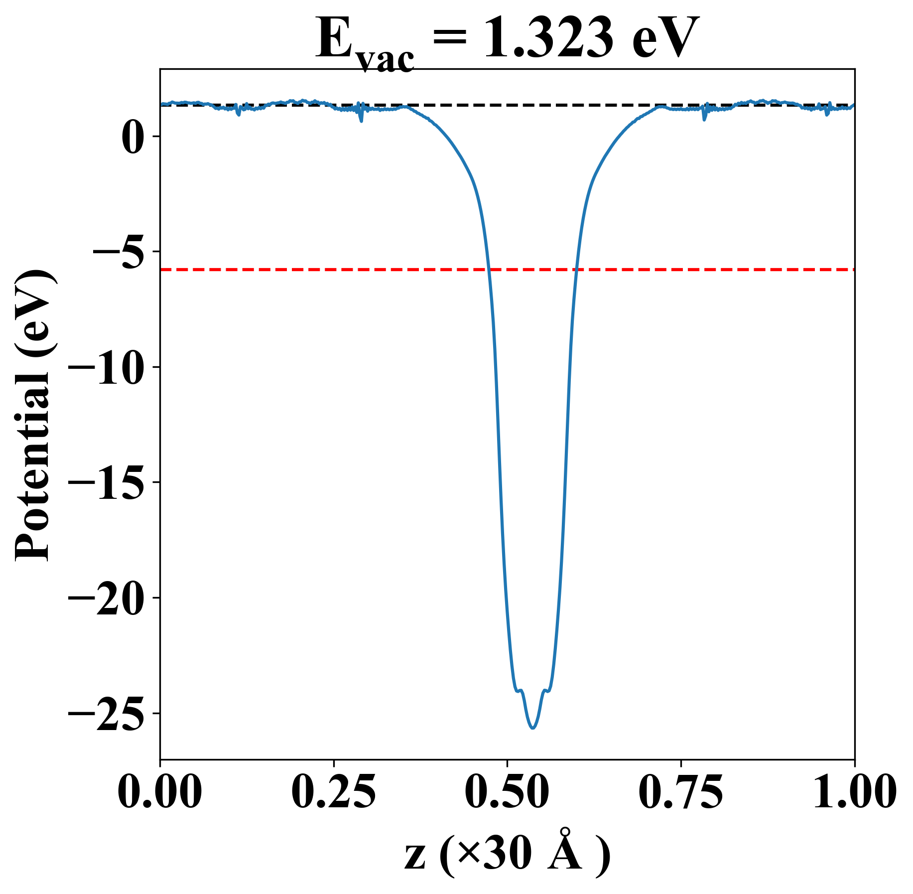
| E-fermi |
-5.795 eV |
| Vacuum level |
1.323 eV |
| VBM |
-6.149 eV |
| CBM |
-4.684 eV |
| Work function |
7.118 eV |
| Direct gap |
No |
| Property |
Value |
| Band gap |
1.46 eV |
| E-fermi |
-5.795 eV |
| VBM |
-6.162 eV |
| CBM |
-4.698 eV |
| Free energy (eV) |
-22.003 |
| Free energy / atom (eV) |
-7.334 |
| Property |
Value |
| Band gap |
0.00 eV |
| E-fermi |
-5.795 eV |
| Vacuum level |
1.323 eV |
| VBM |
-6.149 eV |
| CBM |
-4.684 eV |
| Work function |
7.118 eV |
| Cij (N/m) |
xx |
yy |
xy |
| xx |
99.827 |
47.484 |
0.000 |
| yy |
47.484 |
99.827 |
-0.000 |
| xy |
0.000 |
-0.000 |
26.172 |
| Phonon mode at Γ point (THz) |
| -0.007 |
| -0.007 |
| -0.002 |
| 4.775 |
| 4.775 |
| 11.395 |
| 11.395 |
| 12.325 |
| 17.960 |
| Property |
Value |
| from where |
c2db-617 |