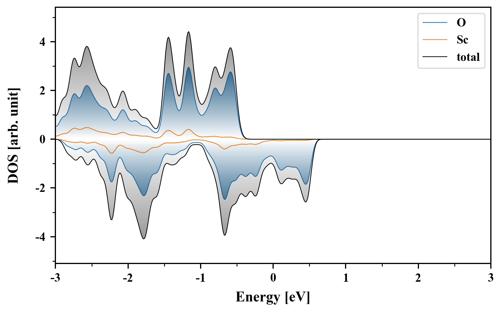
O2Sc1
MatHub2d-913-O2Sc1
| Property |
Value |
| Space group |
(164, 'P-3m1') |
| Crystal system |
hexagonal |
| Magnetic |
Yes |
| Band gap (PBE) (eV) |
0.00 |
| Free energy (eV) |
-22.186 |
| Free energy / atom (eV) |
-7.395 |
Lattice Parameters (basic)
| a, b, c (Å): | 3.277 | 3.277 | 30.000 |
| α, β, γ (°): | 90.000 | 90.000 | 120.000 |
Lattice Parameters (computed)
| a, b, c (Å): | 3.343 | 3.343 | 30.000 |
| α, β, γ (°): | 90.000 | 90.000 | 120.000 |
| Property |
Value |
| Band gap |
0.00 eV |
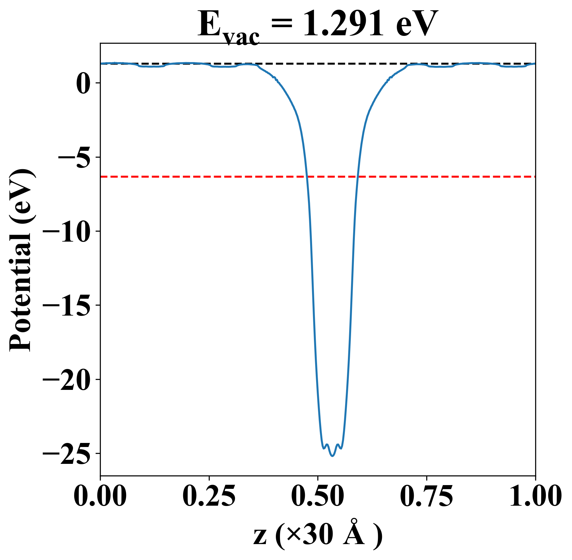
| E-fermi |
-6.328 eV |
| Vacuum level |
1.291 eV |
| VBM |
-6.330 eV |
| CBM |
-6.328 eV |
| Work function |
7.619 eV |
| Direct gap |
No |
| Property |
Value |
| Band gap |
0.00 eV |
| E-fermi |
-6.328 eV |
| Vacuum level |
1.291 eV |
| VBM |
-6.330 eV |
| CBM |
-6.328 eV |
| Work function |
7.619 eV |
| Cij (N/m) |
xx |
yy |
xy |
| xx |
81.158 |
38.440 |
0.000 |
| yy |
38.440 |
81.158 |
-0.000 |
| xy |
0.000 |
-0.000 |
21.359 |
| Phonon mode at Γ point (THz) |
| -0.008 |
| -0.001 |
| -0.001 |
| 8.916 |
| 8.916 |
| 9.315 |
| 9.315 |
| 11.274 |
| 13.176 |
| Property |
Value |
| from where |
c2db-616 |