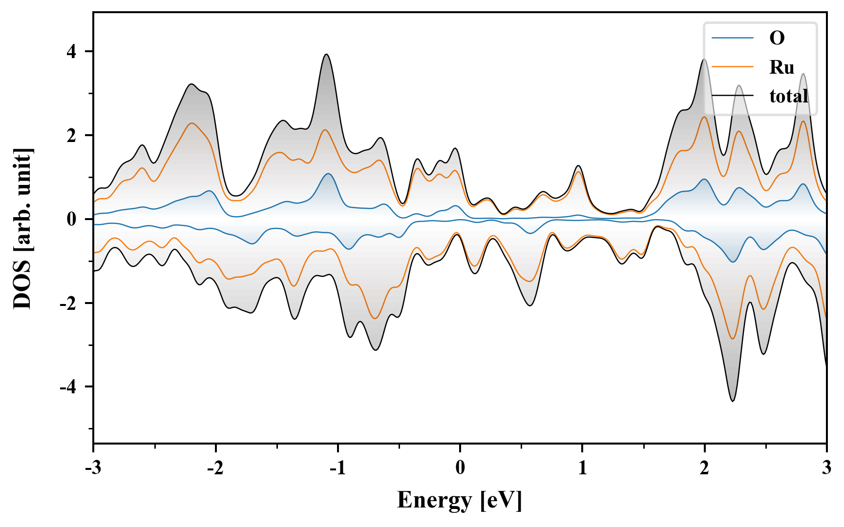
O2Ru2
MatHub2d-912-O2Ru2
| Property |
Value |
| Space group |
(187, 'P-6m2') |
| Crystal system |
hexagonal |
| Magnetic |
Yes |
| Band gap (PBE) (eV) |
0.00 |
| Free energy (eV) |
-23.401 |
| Free energy / atom (eV) |
-5.850 |
Lattice Parameters (basic)
| a, b, c (Å): | 2.756 | 2.756 | 30.000 |
| α, β, γ (°): | 90.000 | 90.000 | 120.000 |
Lattice Parameters (computed)
| a, b, c (Å): | 2.756 | 2.756 | 30.000 |
| α, β, γ (°): | 90.000 | 90.000 | 120.000 |
| Property |
Value |
| Band gap |
0.00 eV |
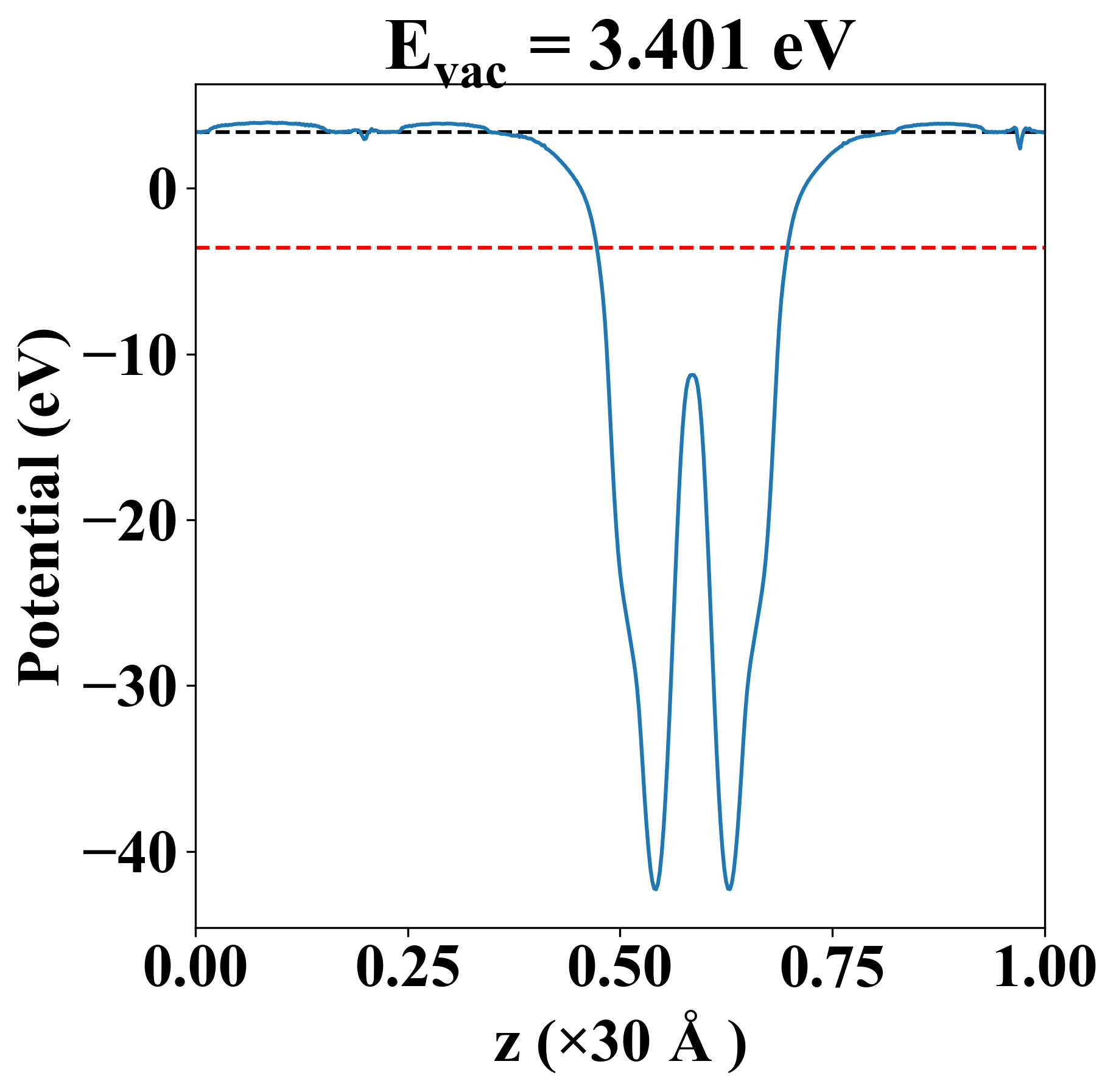
| E-fermi |
-3.594 eV |
| Vacuum level |
3.401 eV |
| VBM |
-3.598 eV |
| CBM |
-3.588 eV |
| Work function |
6.994 eV |
| Direct gap |
No |
| Property |
Value |
| Band gap |
0.00 eV |
| E-fermi |
-3.594 eV |
| Vacuum level |
3.401 eV |
| VBM |
-3.598 eV |
| CBM |
-3.588 eV |
| Work function |
6.994 eV |
| Cij (N/m) |
xx |
yy |
xy |
| xx |
292.991 |
95.797 |
-0.000 |
| yy |
95.797 |
292.991 |
-0.000 |
| xy |
-0.000 |
-0.000 |
98.597 |
| Phonon mode at Γ point (THz) |
| -1.640 |
| -1.640 |
| -0.005 |
| -0.005 |
| -0.001 |
| 5.588 |
| 15.255 |
| 15.255 |
| 15.463 |
| 15.463 |
| 20.230 |
| 20.302 |
| Property |
Value |
| from where |
c2db-1686 |