O2Ru1
MatHub2d-910-O2Ru1
| Property |
Value |
| Space group |
(164, 'P-3m1') |
| Crystal system |
hexagonal |
| Magnetic |
Yes |
| Band gap (PBE) (eV) |
0.00 |
| Free energy (eV) |
-18.555 |
| Free energy / atom (eV) |
-6.185 |
Lattice Parameters (basic)
| a, b, c (Å): | 3.086 | 3.086 | 30.000 |
| α, β, γ (°): | 90.000 | 90.000 | 120.000 |
Lattice Parameters (computed)
| a, b, c (Å): | 3.078 | 3.078 | 30.000 |
| α, β, γ (°): | 90.000 | 90.000 | 120.000 |
| Property |
Value |
| Band gap |
0.00 eV |
| E-fermi |
-4.933 eV |
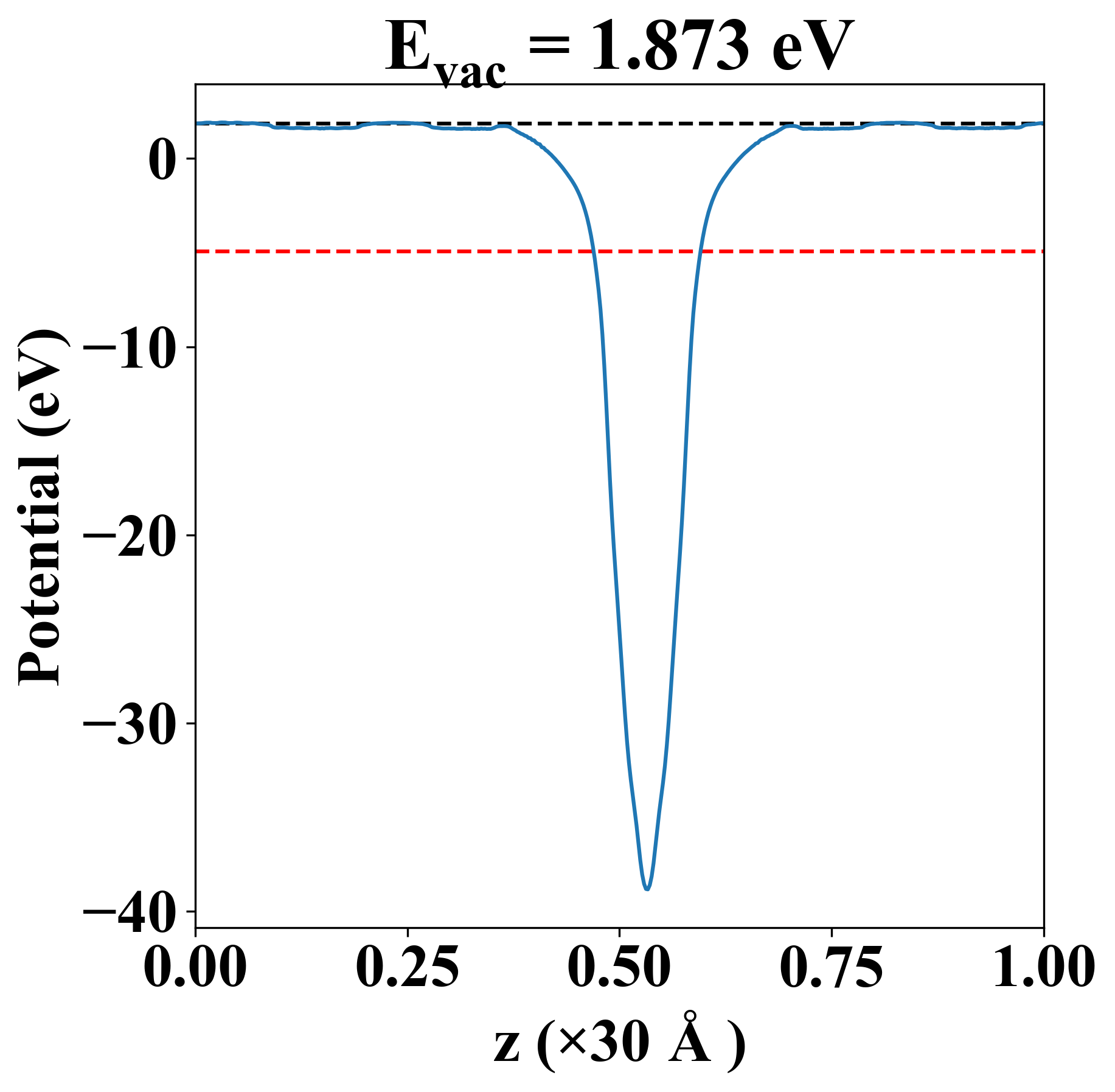
| Vacuum level |
1.873 eV |
| VBM |
-4.935 eV |
| CBM |
-4.930 eV |
| Work function |
6.806 eV |
| Direct gap |
No |
| Property |
Value |
| Band gap |
0.00 eV |
| E-fermi |
-4.933 eV |
| Vacuum level |
1.873 eV |
| VBM |
-4.935 eV |
| CBM |
-4.930 eV |
| Work function |
6.806 eV |
| Cij (N/m) |
xx |
yy |
xy |
| xx |
45.312 |
67.010 |
-0.000 |
| yy |
67.010 |
45.312 |
-0.000 |
| xy |
-0.000 |
-0.000 |
-10.849 |
| Phonon mode at Γ point (THz) |
| -0.016 |
| -0.005 |
| -0.005 |
| 10.246 |
| 10.246 |
| 10.398 |
| 12.014 |
| 12.014 |
| 13.101 |
| Property |
Value |
| from where |
c2db-604 |