O2Rh2
MatHub2d-909-O2Rh2
| Property |
Value |
| Space group |
(187, 'P-6m2') |
| Crystal system |
hexagonal |
| Magnetic |
No |
| Band gap (PBE) (eV) |
0.27 |
| Free energy (eV) |
-19.813 |
| Free energy / atom (eV) |
-4.953 |
Lattice Parameters (basic)
| a, b, c (Å): | 2.896 | 2.896 | 30.000 |
| α, β, γ (°): | 90.000 | 90.000 | 120.000 |
Lattice Parameters (computed)
| a, b, c (Å): | 2.872 | 2.872 | 30.000 |
| α, β, γ (°): | 90.000 | 90.000 | 120.000 |
| Property |
Value |
| Band gap |
0.27 eV |
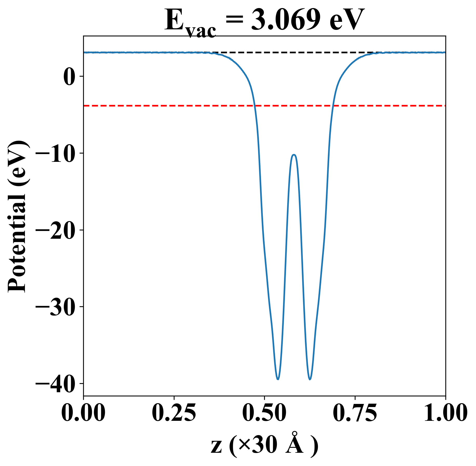
| E-fermi |
-3.851 eV |
| Vacuum level |
3.069 eV |
| VBM |
-3.992 eV |
| CBM |
-3.718 eV |
| Work function |
6.921 eV |
| Direct gap |
No |
| Property |
Value |
| Band gap |
0.28 eV |
| E-fermi |
-3.853 eV |
| VBM |
-3.997 eV |
| CBM |
-3.720 eV |
| Free energy (eV) |
-20.132 |
| Free energy / atom (eV) |
-5.033 |
| Property |
Value |
| Band gap |
0.27 eV |
| E-fermi |
-3.851 eV |
| Vacuum level |
3.069 eV |
| VBM |
-3.992 eV |
| CBM |
-3.718 eV |
| Work function |
6.921 eV |
| Cij (N/m) |
xx |
yy |
xy |
| xx |
209.767 |
86.735 |
0.000 |
| yy |
86.735 |
209.767 |
0.000 |
| xy |
0.000 |
0.000 |
61.516 |
| Phonon mode at Γ point (THz) |
| -1.339 |
| -1.339 |
| -0.006 |
| -0.006 |
| -0.001 |
| 5.609 |
| 16.019 |
| 16.019 |
| 16.095 |
| 16.095 |
| 19.224 |
| 19.252 |
| Property |
Value |
| from where |
c2db-1682 |