O2Rh1
MatHub2d-908-O2Rh1
| Property |
Value |
| Space group |
(187, 'P-6m2') |
| Crystal system |
hexagonal |
| Magnetic |
Yes |
| Band gap (PBE) (eV) |
0.01 |
| Free energy (eV) |
-14.172 |
| Free energy / atom (eV) |
-4.724 |
Lattice Parameters (basic)
| a, b, c (Å): | 2.953 | 2.953 | 30.000 |
| α, β, γ (°): | 90.000 | 90.000 | 120.000 |
Lattice Parameters (computed)
| a, b, c (Å): | 2.934 | 2.934 | 30.000 |
| α, β, γ (°): | 90.000 | 90.000 | 120.000 |
| Property |
Value |
| Band gap |
0.01 eV |
| E-fermi |
-5.437 eV |
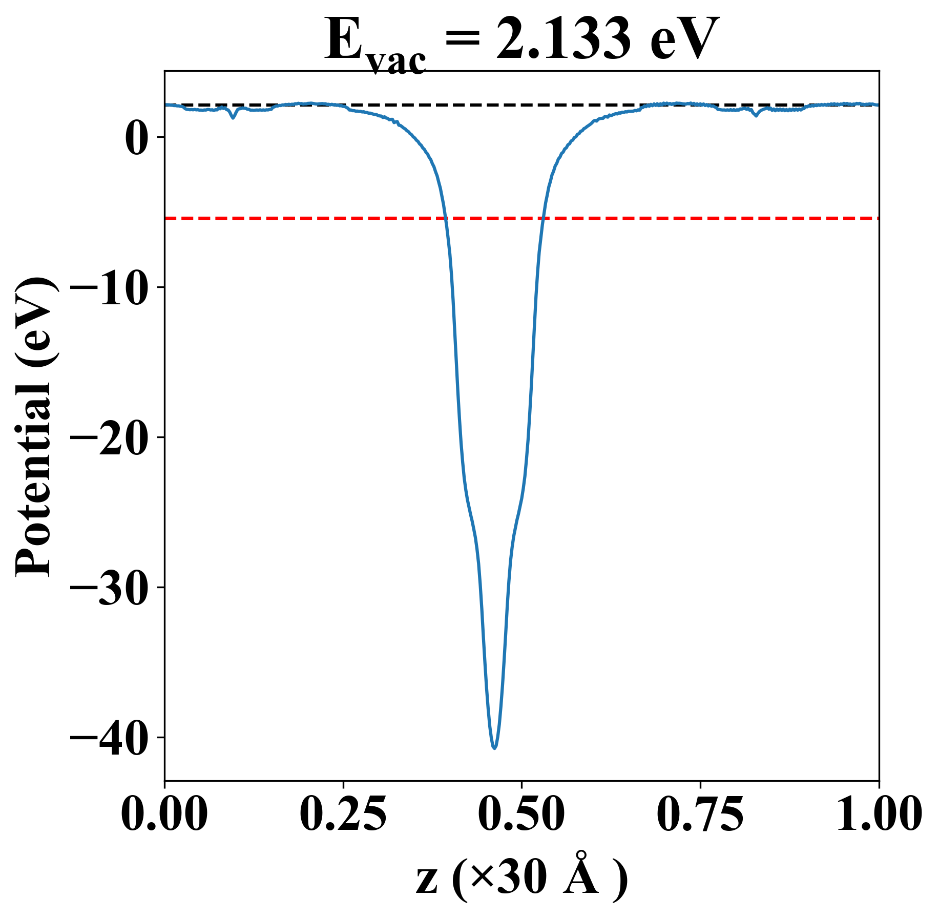
| Vacuum level |
2.133 eV |
| VBM |
-5.442 eV |
| CBM |
-5.434 eV |
| Work function |
7.569 eV |
| Direct gap |
No |
| Property |
Value |
| Band gap |
0.01 eV |
| E-fermi |
-5.437 eV |
| Vacuum level |
2.133 eV |
| VBM |
-5.442 eV |
| CBM |
-5.434 eV |
| Work function |
7.569 eV |
| Cij (N/m) |
xx |
yy |
xy |
| xx |
102.705 |
85.981 |
0.000 |
| yy |
85.981 |
102.705 |
0.000 |
| xy |
0.000 |
0.000 |
8.362 |
| Phonon mode at Γ point (THz) |
| -15.641 |
| -15.641 |
| -10.356 |
| -10.356 |
| -0.011 |
| 0.059 |
| 0.059 |
| 5.381 |
| 16.746 |
| Property |
Value |
| from where |
c2db-597 |