O2Rh1
MatHub2d-907-O2Rh1
| Property |
Value |
| Space group |
(164, 'P-3m1') |
| Crystal system |
hexagonal |
| Magnetic |
Yes |
| Band gap (PBE) (eV) |
0.00 |
| Free energy (eV) |
-16.203 |
| Free energy / atom (eV) |
-5.401 |
Lattice Parameters (basic)
| a, b, c (Å): | 3.096 | 3.096 | 30.000 |
| α, β, γ (°): | 90.000 | 90.000 | 120.000 |
Lattice Parameters (computed)
| a, b, c (Å): | 3.070 | 3.070 | 30.000 |
| α, β, γ (°): | 90.000 | 90.000 | 120.000 |
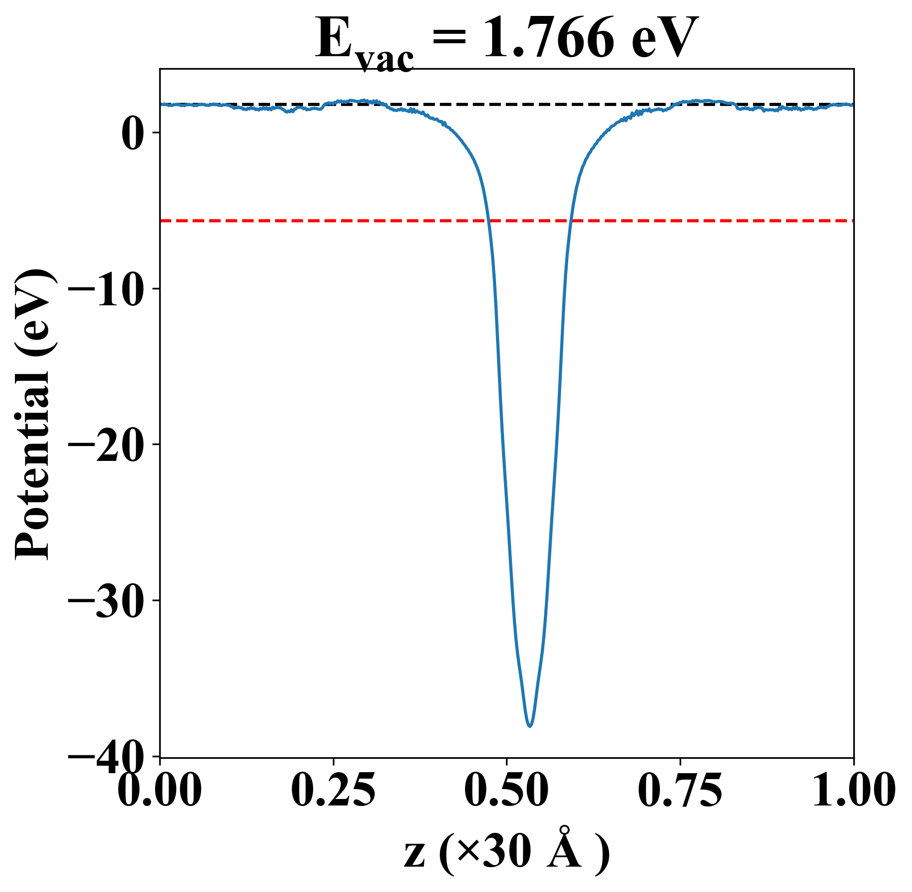
| Property |
Value |
| Band gap |
0.00 eV |
| E-fermi |
-5.666 eV |
| Vacuum level |
1.766 eV |
| VBM |
-5.671 eV |
| CBM |
-5.663 eV |
| Work function |
7.432 eV |
| Direct gap |
No |
| Property |
Value |
| Band gap |
0.00 eV |
| E-fermi |
-5.666 eV |
| Vacuum level |
1.766 eV |
| VBM |
-5.671 eV |
| CBM |
-5.663 eV |
| Work function |
7.432 eV |
| Cij (N/m) |
xx |
yy |
xy |
| xx |
135.771 |
44.833 |
0.000 |
| yy |
44.833 |
135.771 |
-0.000 |
| xy |
0.000 |
-0.000 |
45.469 |
| Phonon mode at Γ point (THz) |
| -0.014 |
| -0.001 |
| -0.001 |
| 13.449 |
| 13.611 |
| 13.611 |
| 15.156 |
| 15.805 |
| 15.805 |
| Property |
Value |
| from where |
c2db-596 |