O2Re2
MatHub2d-906-O2Re2
| Property |
Value |
| Space group |
(187, 'P-6m2') |
| Crystal system |
hexagonal |
| Magnetic |
|
| Band gap (PBE) (eV) |
0.00 |
| Free energy (eV) |
-31.627 |
| Free energy / atom (eV) |
-7.907 |
Lattice Parameters (basic)
| a, b, c (Å): | 2.988 | 2.988 | 30.000 |
| α, β, γ (°): | 90.000 | 90.000 | 120.000 |
Lattice Parameters (computed)
| a, b, c (Å): | 2.758 | 2.758 | 30.000 |
| α, β, γ (°): | 90.000 | 90.000 | 120.000 |
| Property |
Value |
| Band gap |
0.00 eV |
| E-fermi |
-4.247 eV |
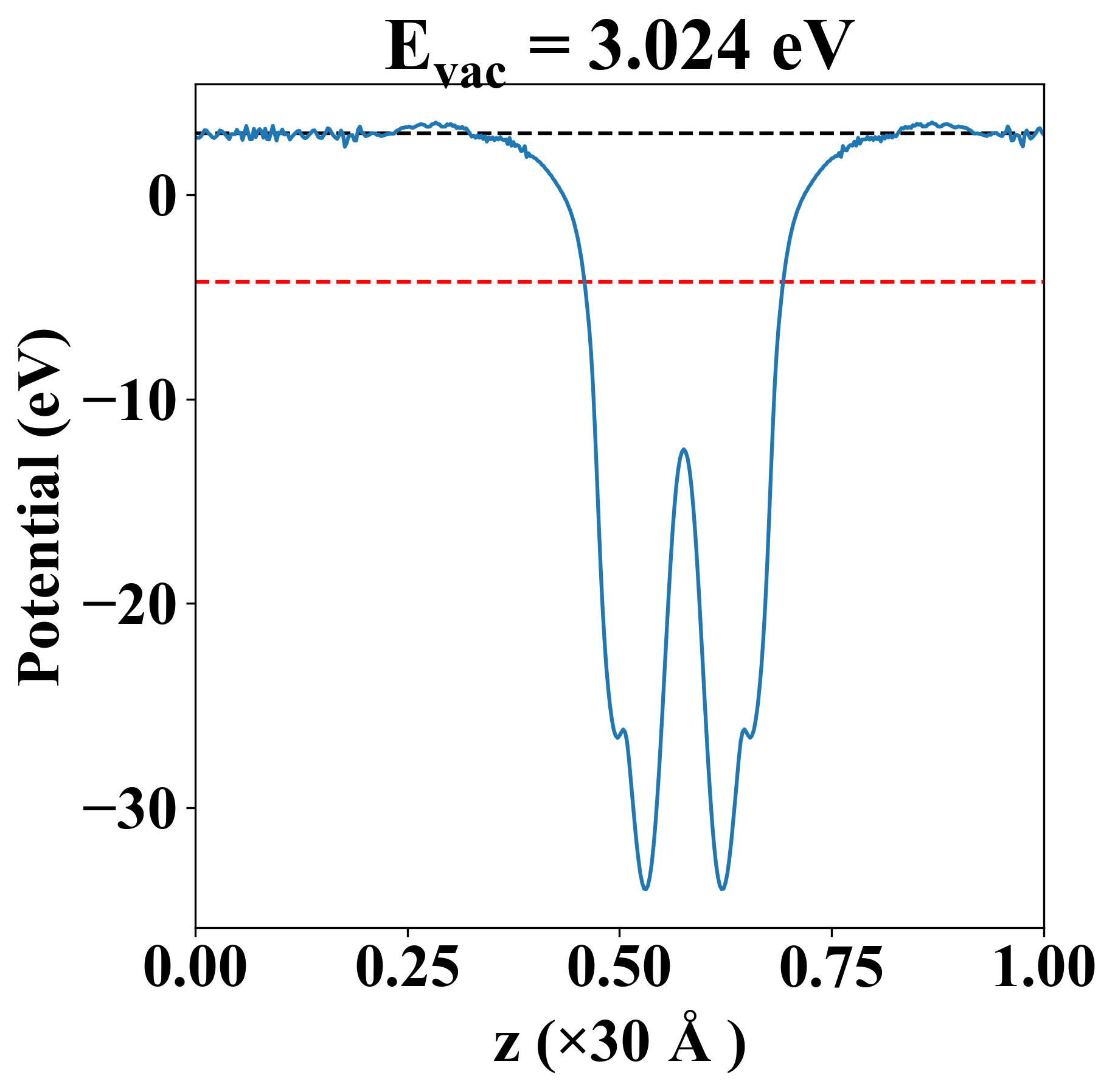
| Vacuum level |
3.024 eV |
| VBM |
-4.249 eV |
| CBM |
-4.247 eV |
| Work function |
7.272 eV |
| Direct gap |
No |
| Property |
Value |
| Band gap |
0.00 eV |
| E-fermi |
-4.247 eV |
| Vacuum level |
3.024 eV |
| VBM |
-4.249 eV |
| CBM |
-4.247 eV |
| Work function |
7.272 eV |
| Cij (N/m) |
xx |
yy |
xy |
| xx |
318.387 |
174.646 |
0.000 |
| yy |
174.646 |
318.387 |
-0.000 |
| xy |
0.000 |
-0.000 |
71.870 |
| Phonon mode at Γ point (THz) |
| -2.266 |
| -2.266 |
| -0.004 |
| -0.001 |
| -0.001 |
| 4.612 |
| 13.130 |
| 13.130 |
| 13.592 |
| 13.592 |
| 20.071 |
| 20.383 |
| Property |
Value |
| from where |
c2db-1678 |