O2Re1
MatHub2d-904-O2Re1
| Property |
Value |
| Space group |
(164, 'P-3m1') |
| Crystal system |
hexagonal |
| Magnetic |
No |
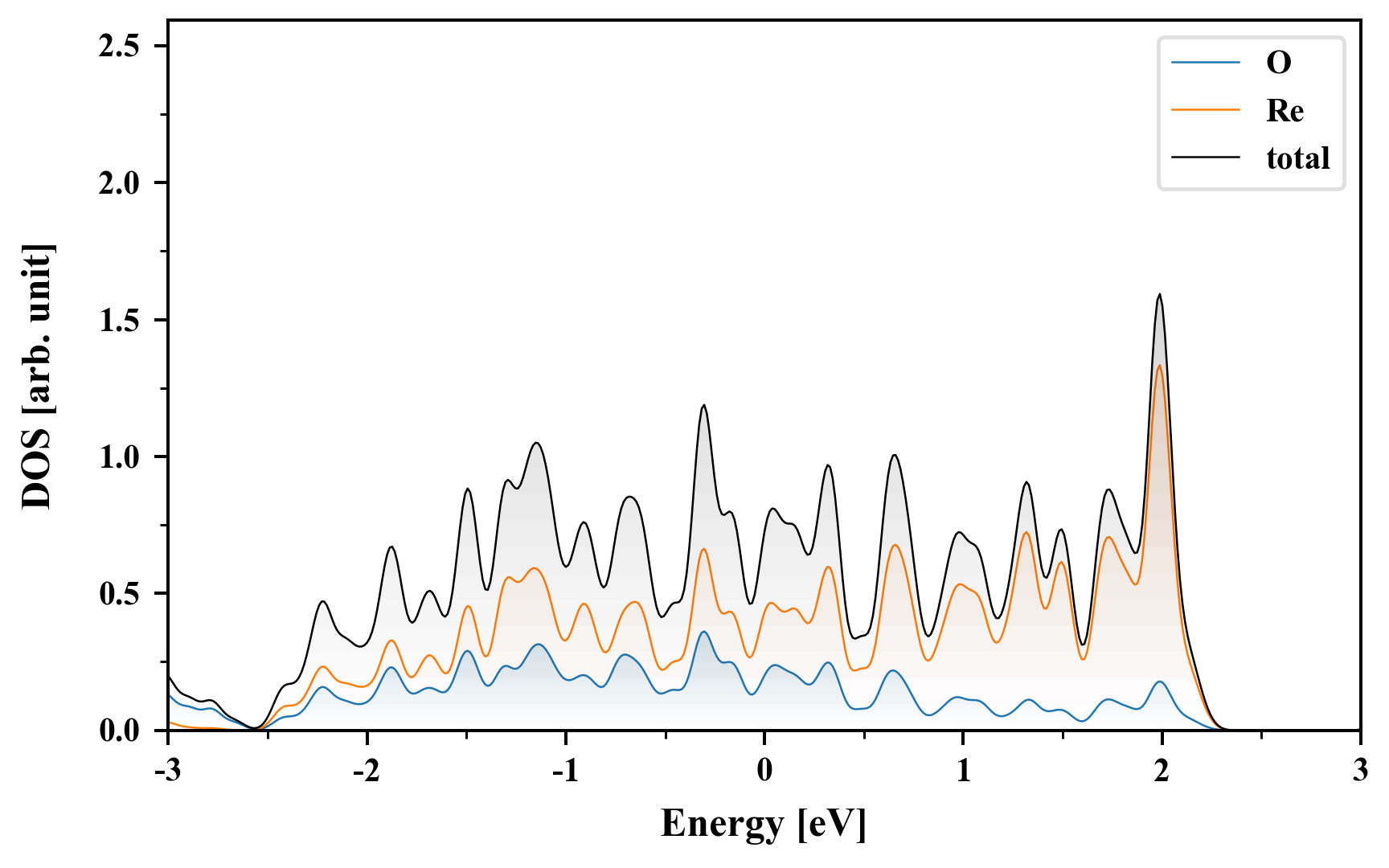
| Band gap (PBE) (eV) |
0.00 |
| Free energy (eV) |
-22.538 |
| Free energy / atom (eV) |
-7.513 |
Lattice Parameters (basic)
| a, b, c (Å): | 2.781 | 2.781 | 30.000 |
| α, β, γ (°): | 90.000 | 90.000 | 120.000 |
Lattice Parameters (computed)
| a, b, c (Å): | 2.820 | 2.820 | 30.000 |
| α, β, γ (°): | 90.000 | 90.000 | 120.000 |
| Property |
Value |
| Band gap |
0.00 eV |
| E-fermi |
-5.074 eV |
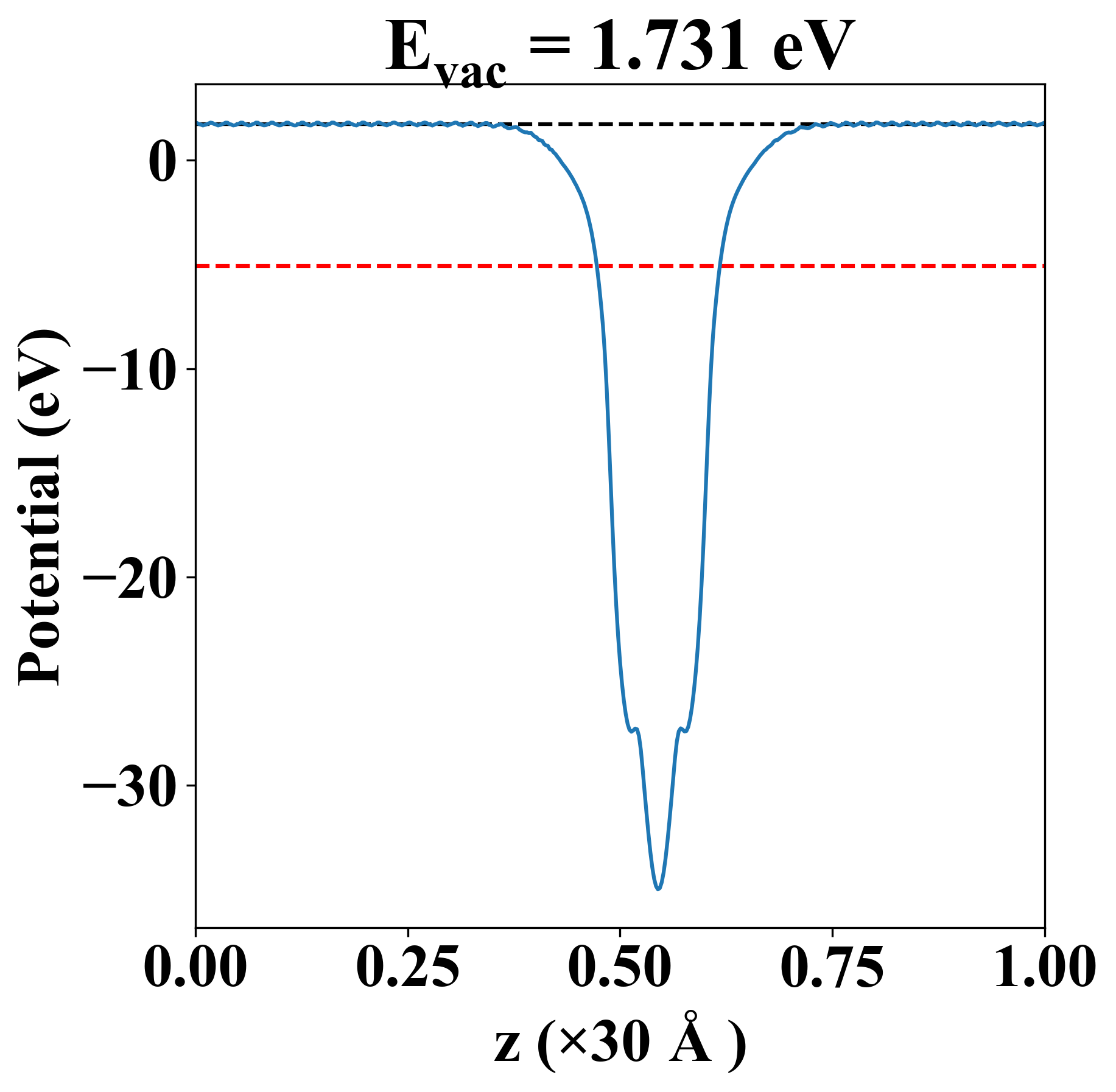
| Vacuum level |
1.731 eV |
| VBM |
-5.080 eV |
| CBM |
-5.073 eV |
| Work function |
6.805 eV |
| Direct gap |
No |
| Property |
Value |
| Band gap |
0.00 eV |
| E-fermi |
-5.074 eV |
| Vacuum level |
1.731 eV |
| VBM |
-5.080 eV |
| CBM |
-5.073 eV |
| Work function |
6.805 eV |
| Cij (N/m) |
xx |
yy |
xy |
| xx |
131.427 |
29.563 |
0.000 |
| yy |
29.563 |
131.427 |
-0.000 |
| xy |
0.000 |
-0.000 |
50.932 |
| Phonon mode at Γ point (THz) |
| -0.002 |
| -0.001 |
| -0.001 |
| 13.283 |
| 13.283 |
| 13.493 |
| 13.493 |
| 17.389 |
| 19.252 |
| Property |
Value |
| from where |
c2db-588 |