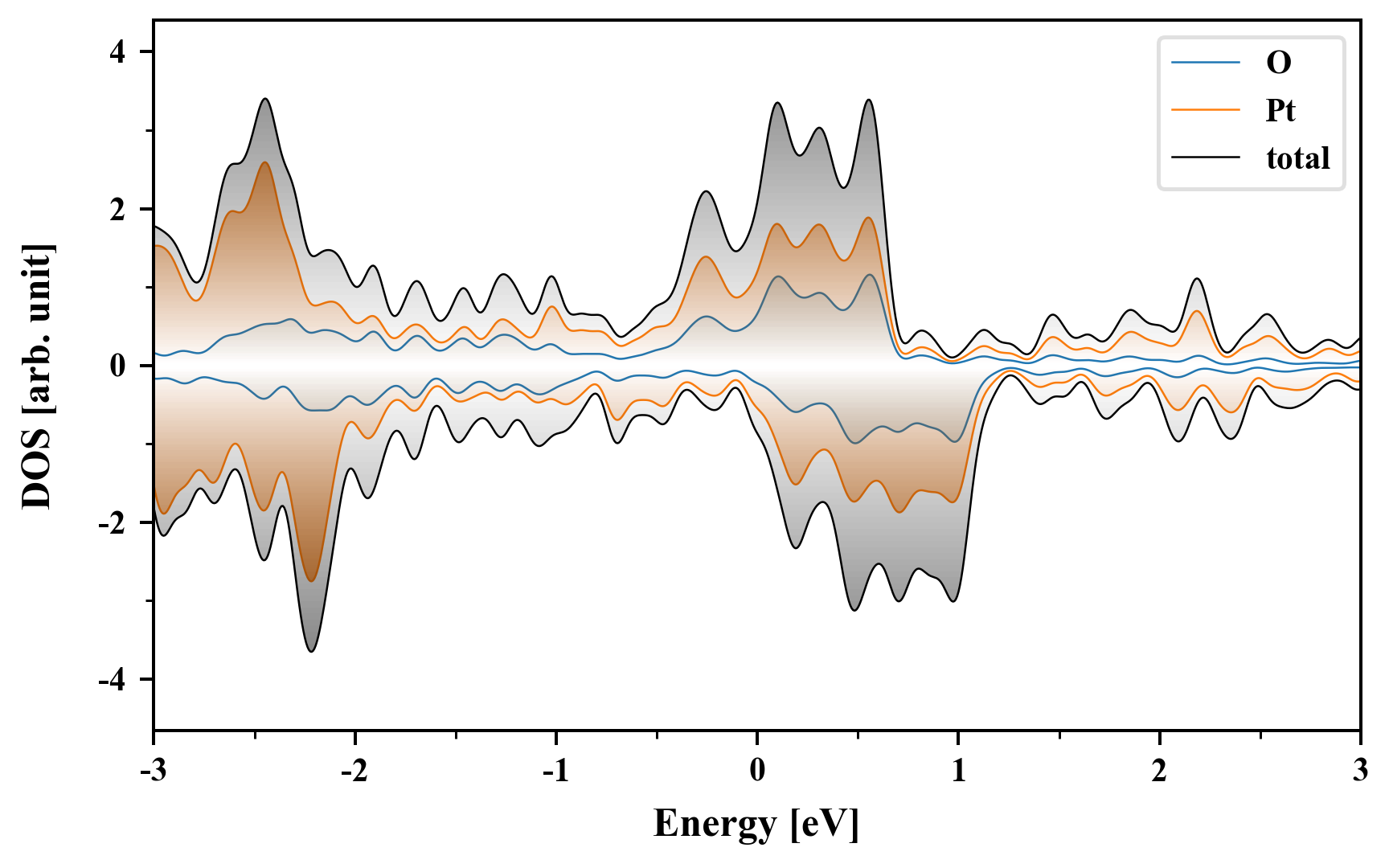
O2Pt2
MatHub2d-903-O2Pt2
| Property |
Value |
| Space group |
(187, 'P-6m2') |
| Crystal system |
hexagonal |
| Magnetic |
Yes |
| Band gap (PBE) (eV) |
0.00 |
| Free energy (eV) |
-16.564 |
| Free energy / atom (eV) |
-4.141 |
Lattice Parameters (basic)
| a, b, c (Å): | 3.080 | 3.080 | 30.000 |
| α, β, γ (°): | 90.000 | 90.000 | 120.000 |
Lattice Parameters (computed)
| a, b, c (Å): | 3.052 | 3.052 | 30.000 |
| α, β, γ (°): | 90.000 | 90.000 | 120.000 |
| Property |
Value |
| Band gap |
0.00 eV |
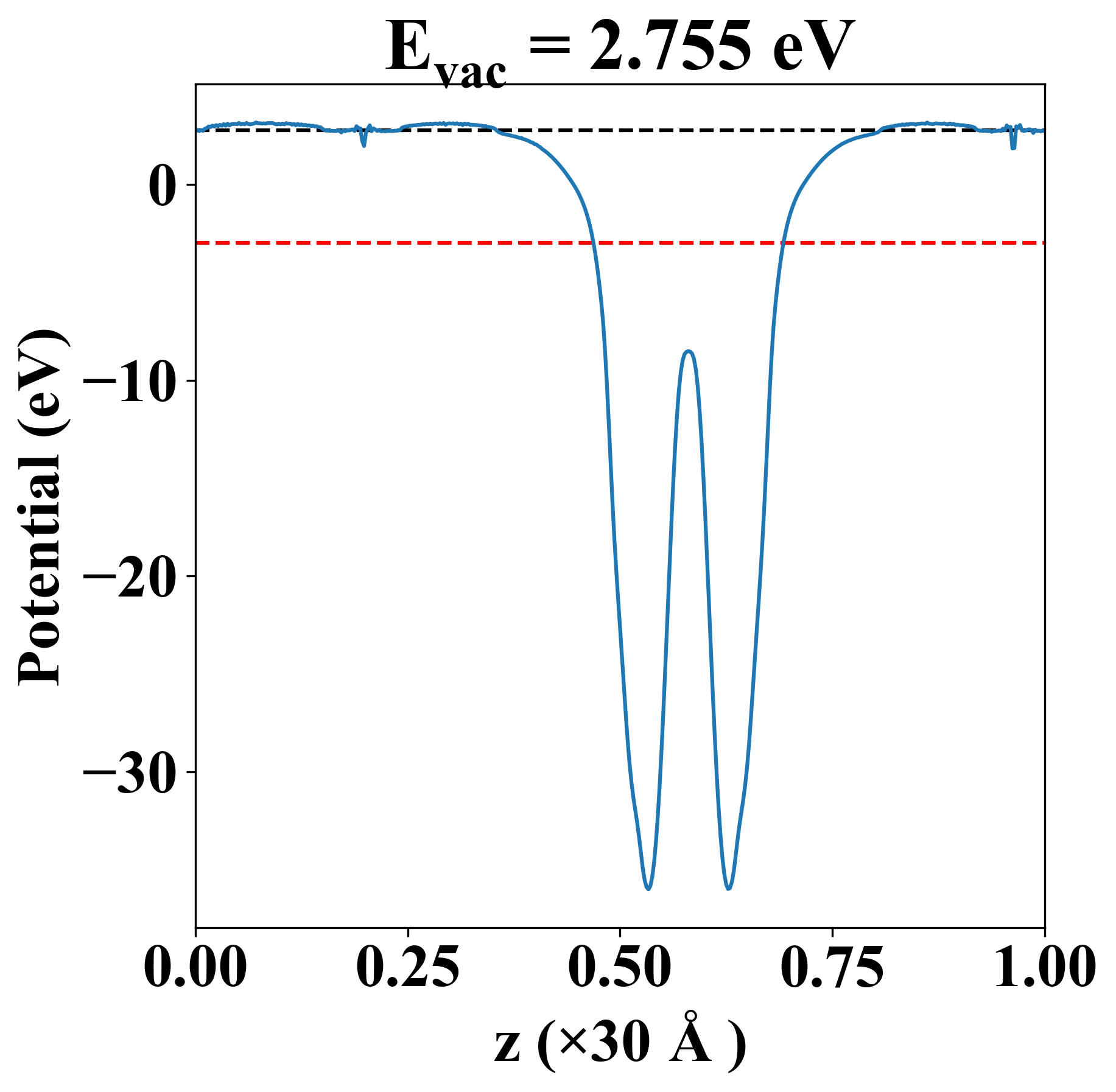
| E-fermi |
-2.989 eV |
| Vacuum level |
2.755 eV |
| VBM |
-2.990 eV |
| CBM |
-2.989 eV |
| Work function |
5.744 eV |
| Direct gap |
No |
| Property |
Value |
| Band gap |
0.00 eV |
| E-fermi |
-2.989 eV |
| Vacuum level |
2.755 eV |
| VBM |
-2.990 eV |
| CBM |
-2.989 eV |
| Work function |
5.744 eV |
| Cij (N/m) |
xx |
yy |
xy |
| xx |
87.804 |
54.750 |
0.000 |
| yy |
54.750 |
87.804 |
-0.000 |
| xy |
0.000 |
-0.000 |
16.527 |
| Phonon mode at Γ point (THz) |
| -0.745 |
| -0.745 |
| -0.002 |
| -0.002 |
| -0.002 |
| 2.892 |
| 10.993 |
| 10.993 |
| 11.673 |
| 11.673 |
| 14.124 |
| 14.726 |
| Property |
Value |
| from where |
c2db-1674 |