O2Pt1
MatHub2d-902-O2Pt1
| Property |
Value |
| Space group |
(187, 'P-6m2') |
| Crystal system |
hexagonal |
| Magnetic |
Yes |
| Band gap (PBE) (eV) |
0.00 |
| Free energy (eV) |
-12.295 |
| Free energy / atom (eV) |
-4.098 |
Lattice Parameters (basic)
| a, b, c (Å): | 3.068 | 3.068 | 30.000 |
| α, β, γ (°): | 90.000 | 90.000 | 120.000 |
Lattice Parameters (computed)
| a, b, c (Å): | 3.045 | 3.045 | 30.000 |
| α, β, γ (°): | 90.000 | 90.000 | 120.000 |
| Property |
Value |
| Band gap |
0.00 eV |
| E-fermi |
-5.529 eV |
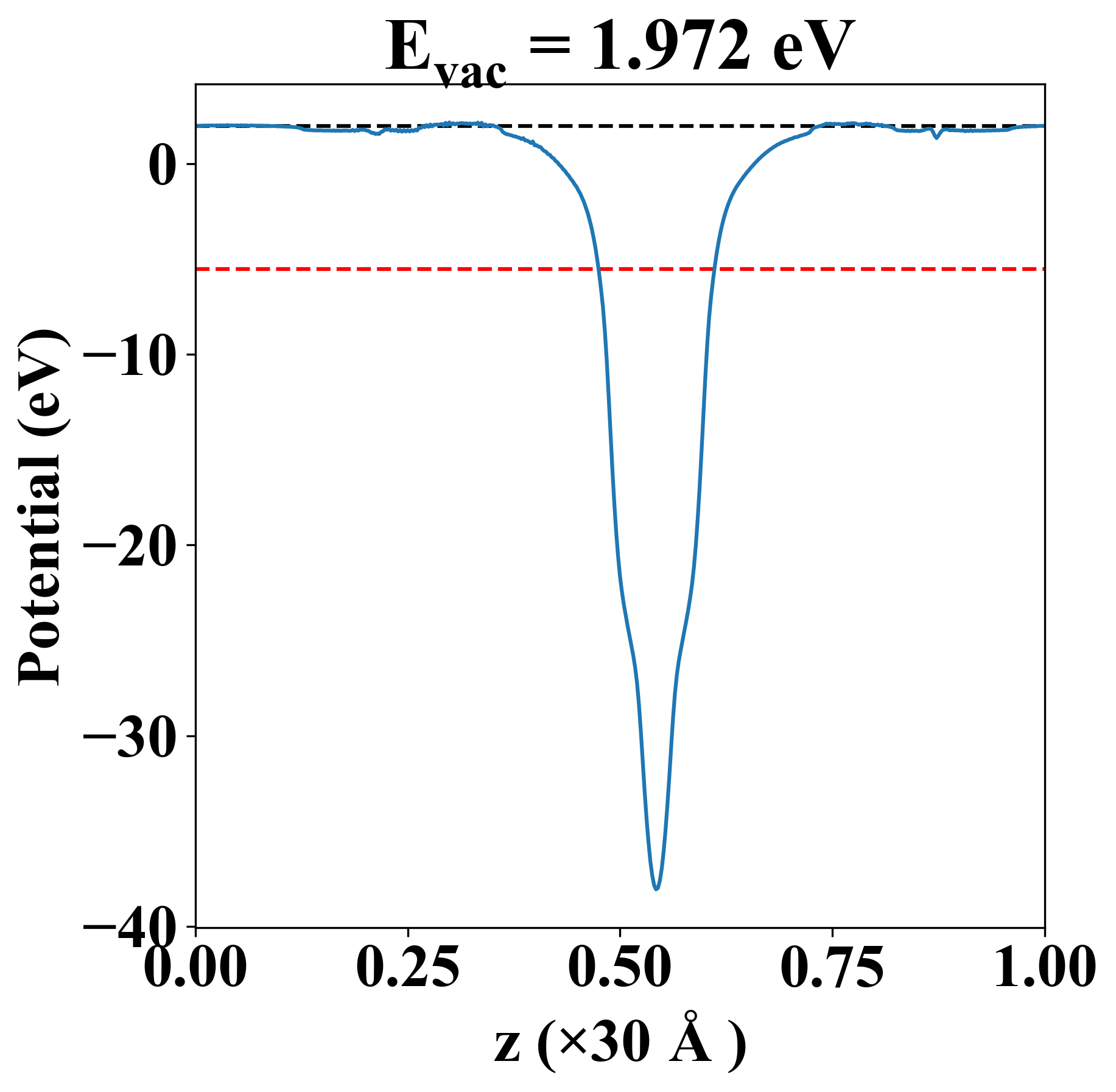
| Vacuum level |
1.972 eV |
| VBM |
-5.530 eV |
| CBM |
-5.528 eV |
| Work function |
7.501 eV |
| Direct gap |
No |
| Property |
Value |
| Band gap |
0.00 eV |
| E-fermi |
-5.529 eV |
| Vacuum level |
1.972 eV |
| VBM |
-5.530 eV |
| CBM |
-5.528 eV |
| Work function |
7.501 eV |
| Cij (N/m) |
xx |
yy |
xy |
| xx |
73.915 |
61.243 |
0.000 |
| yy |
61.243 |
73.915 |
0.000 |
| xy |
0.000 |
0.000 |
6.336 |
| Phonon mode at Γ point (THz) |
| -15.533 |
| -15.533 |
| -9.256 |
| -9.256 |
| -0.008 |
| 0.006 |
| 0.006 |
| 7.962 |
| 15.320 |
| Property |
Value |
| from where |
c2db-581 |