O2Pt1
MatHub2d-901-O2Pt1
| Property |
Value |
| Space group |
(164, 'P-3m1') |
| Crystal system |
hexagonal |
| Magnetic |
No |
| Band gap (PBE) (eV) |
2.21 |
| Free energy (eV) |
-15.557 |
| Free energy / atom (eV) |
-5.186 |
Lattice Parameters (basic)
| a, b, c (Å): | 3.149 | 3.149 | 30.000 |
| α, β, γ (°): | 90.000 | 90.000 | 120.000 |
Lattice Parameters (computed)
| a, b, c (Å): | 3.121 | 3.121 | 30.000 |
| α, β, γ (°): | 90.000 | 90.000 | 120.000 |
| Property |
Value |
| Band gap |
2.21 eV |
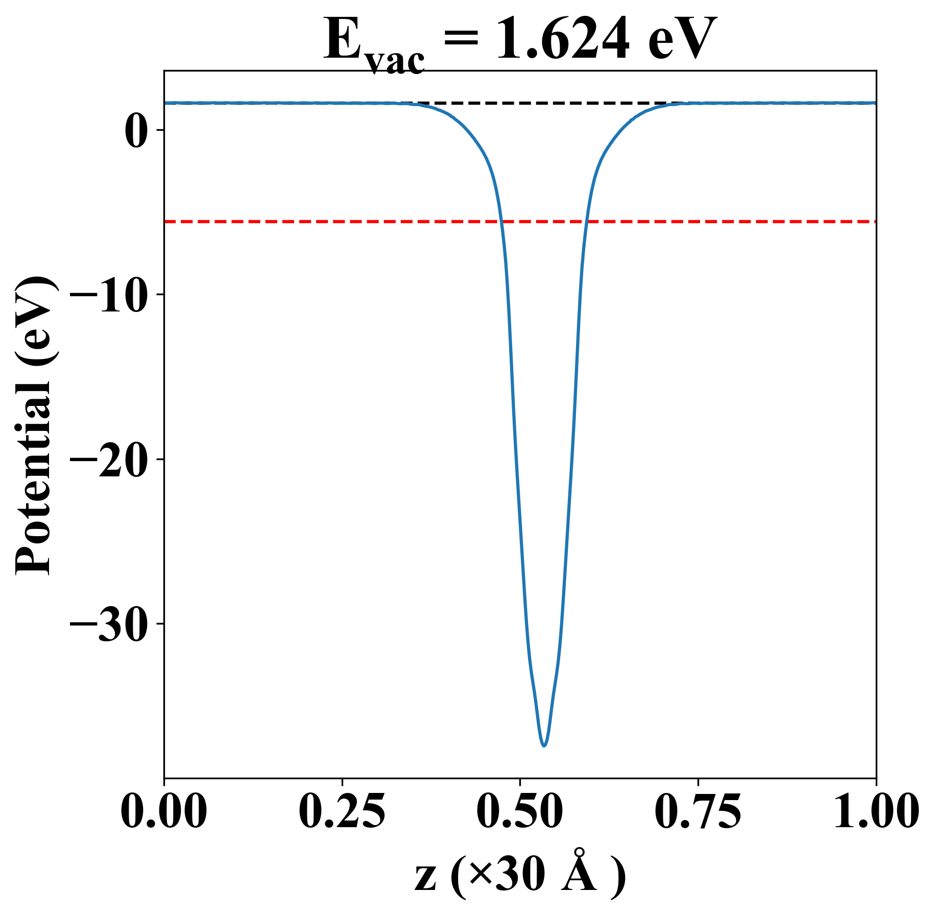
| E-fermi |
-5.601 eV |
| Vacuum level |
1.624 eV |
| VBM |
-5.826 eV |
| CBM |
-3.618 eV |
| Work function |
7.225 eV |
| Direct gap |
No |
| Property |
Value |
| Band gap |
2.24 eV |
| E-fermi |
-5.583 eV |
| VBM |
-5.824 eV |
| CBM |
-3.579 eV |
| Free energy (eV) |
-16.029 |
| Free energy / atom (eV) |
-5.343 |
| Property |
Value |
| Band gap |
2.21 eV |
| E-fermi |
-5.601 eV |
| Vacuum level |
1.624 eV |
| VBM |
-5.826 eV |
| CBM |
-3.618 eV |
| Work function |
7.225 eV |
| Cij (N/m) |
xx |
yy |
xy |
| xx |
140.999 |
36.734 |
-0.000 |
| yy |
36.734 |
140.999 |
-0.000 |
| xy |
-0.000 |
-0.000 |
52.132 |
| Phonon mode at Γ point (THz) |
| -0.003 |
| -0.003 |
| -0.003 |
| 14.693 |
| 15.613 |
| 15.613 |
| 16.515 |
| 16.515 |
| 17.207 |
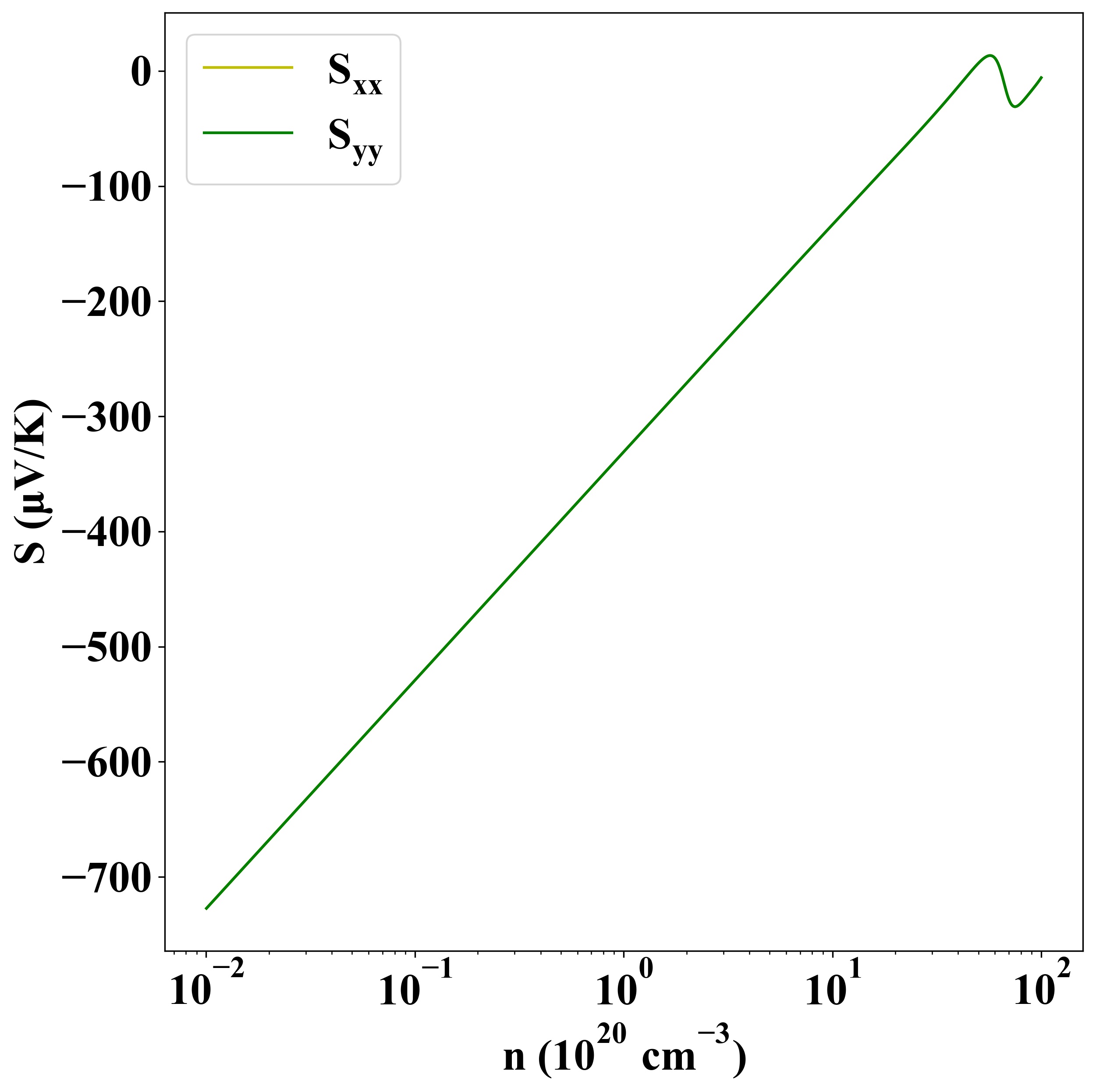
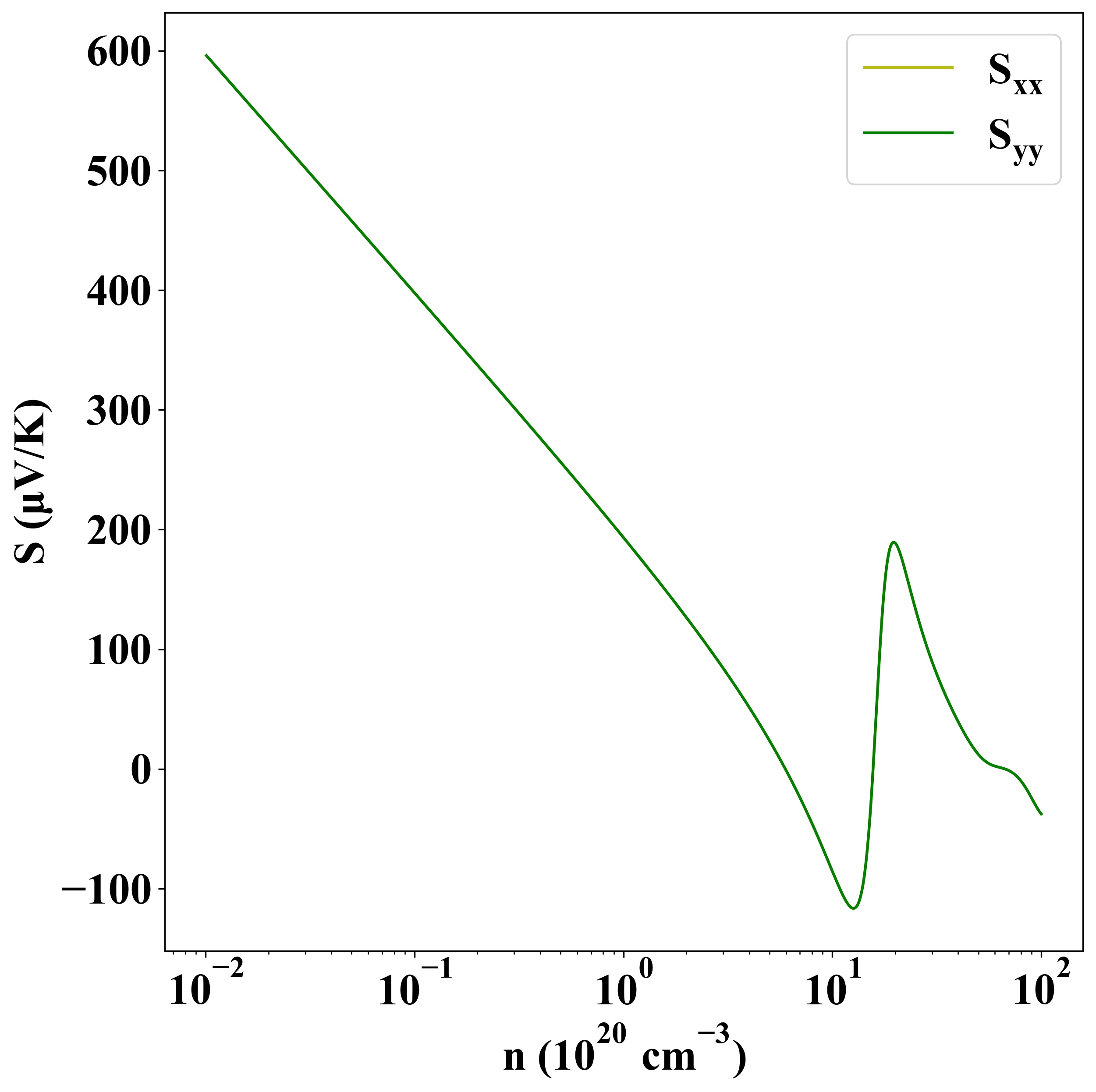
| Carrier type |
C2D (N/m) |
Edef (eV) |
μ (cm2V-1s-1) |
| x |
y |
x |
y |
x |
y |
| hole |
140.81 |
141.28 |
1.57 |
1.86 |
-1672.27 |
-1186.45 |
| electron |
-4.86 |
-1.20 |
20.78 |
342.37 |
| Property |
Value |
| from where |
JVASP-5874 |