O2Pd2
MatHub2d-900-O2Pd2
| Property |
Value |
| Space group |
(187, 'P-6m2') |
| Crystal system |
hexagonal |
| Magnetic |
Yes |
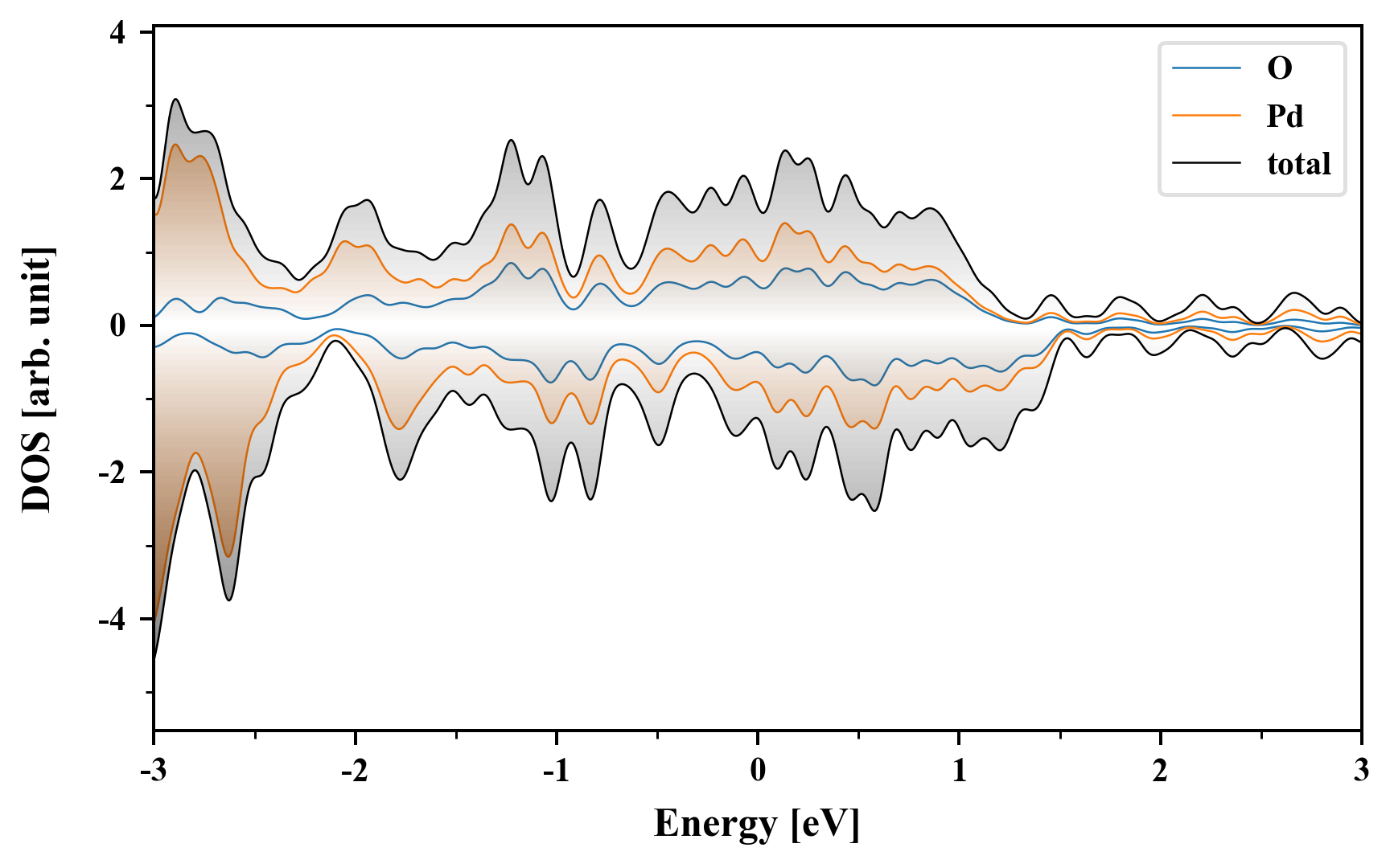
| Band gap (PBE) (eV) |
0.00 |
| Free energy (eV) |
-15.684 |
| Free energy / atom (eV) |
-3.921 |
Lattice Parameters (basic)
| a, b, c (Å): | 3.101 | 3.101 | 30.000 |
| α, β, γ (°): | 90.000 | 90.000 | 120.000 |
Lattice Parameters (computed)
| a, b, c (Å): | 3.148 | 3.148 | 30.000 |
| α, β, γ (°): | 90.000 | 90.000 | 120.000 |
| Property |
Value |
| Band gap |
0.00 eV |
| E-fermi |
-3.902 eV |
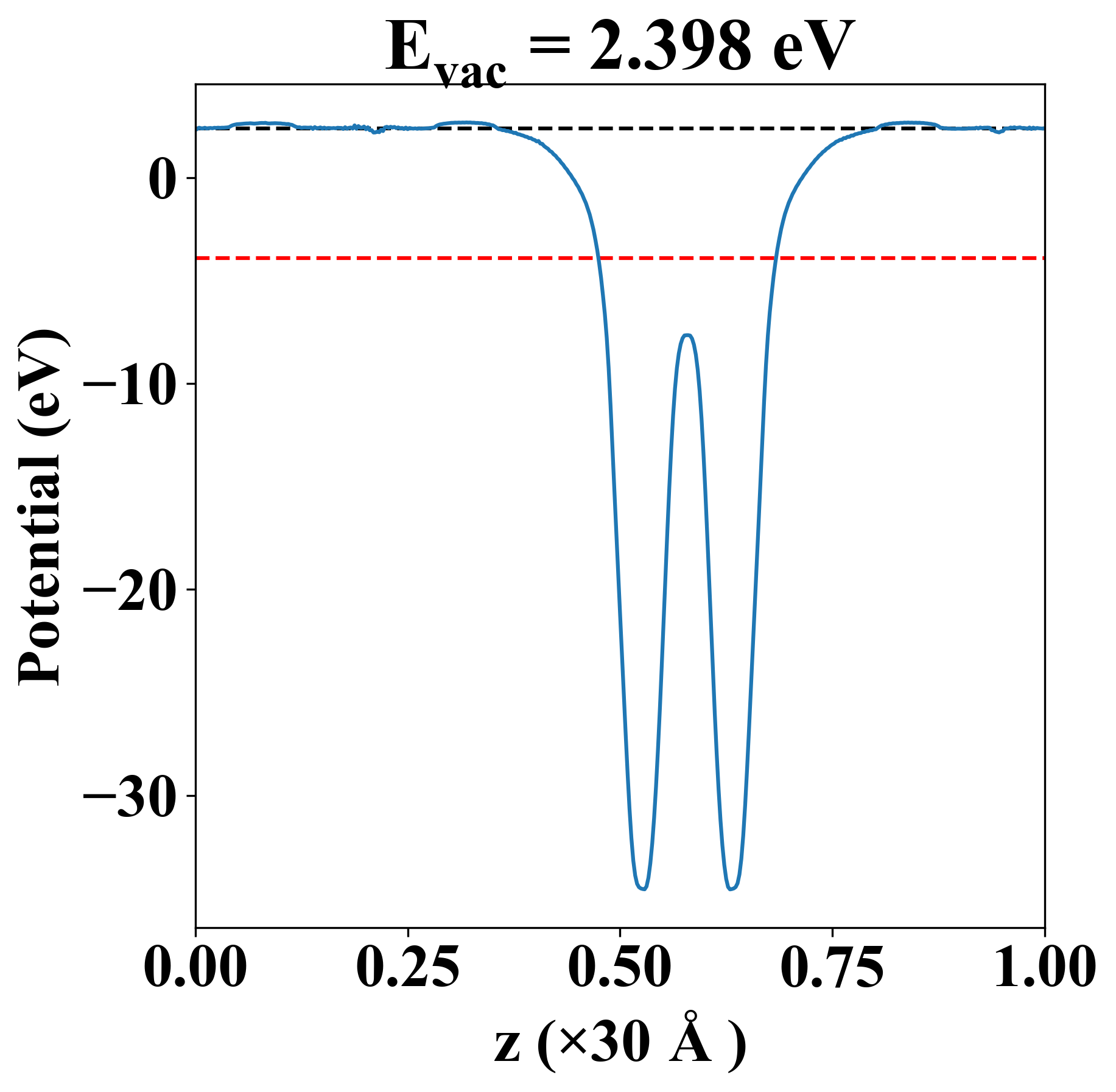
| Vacuum level |
2.398 eV |
| VBM |
-3.902 eV |
| CBM |
-3.901 eV |
| Work function |
6.300 eV |
| Direct gap |
No |
| Property |
Value |
| Band gap |
0.00 eV |
| E-fermi |
-3.902 eV |
| Vacuum level |
2.398 eV |
| VBM |
-3.902 eV |
| CBM |
-3.901 eV |
| Work function |
6.300 eV |
| Cij (N/m) |
xx |
yy |
xy |
| xx |
-6.932 |
-16.948 |
0.000 |
| yy |
-16.948 |
-6.932 |
0.000 |
| xy |
0.000 |
0.000 |
5.008 |
| Phonon mode at Γ point (THz) |
| -0.883 |
| -0.883 |
| -0.005 |
| -0.001 |
| -0.001 |
| 2.824 |
| 11.553 |
| 11.726 |
| 12.613 |
| 12.613 |
| 13.356 |
| 13.356 |
| Property |
Value |
| from where |
c2db-1670 |