O2Pd1
MatHub2d-899-O2Pd1
| Property |
Value |
| Space group |
(187, 'P-6m2') |
| Crystal system |
hexagonal |
| Magnetic |
Yes |
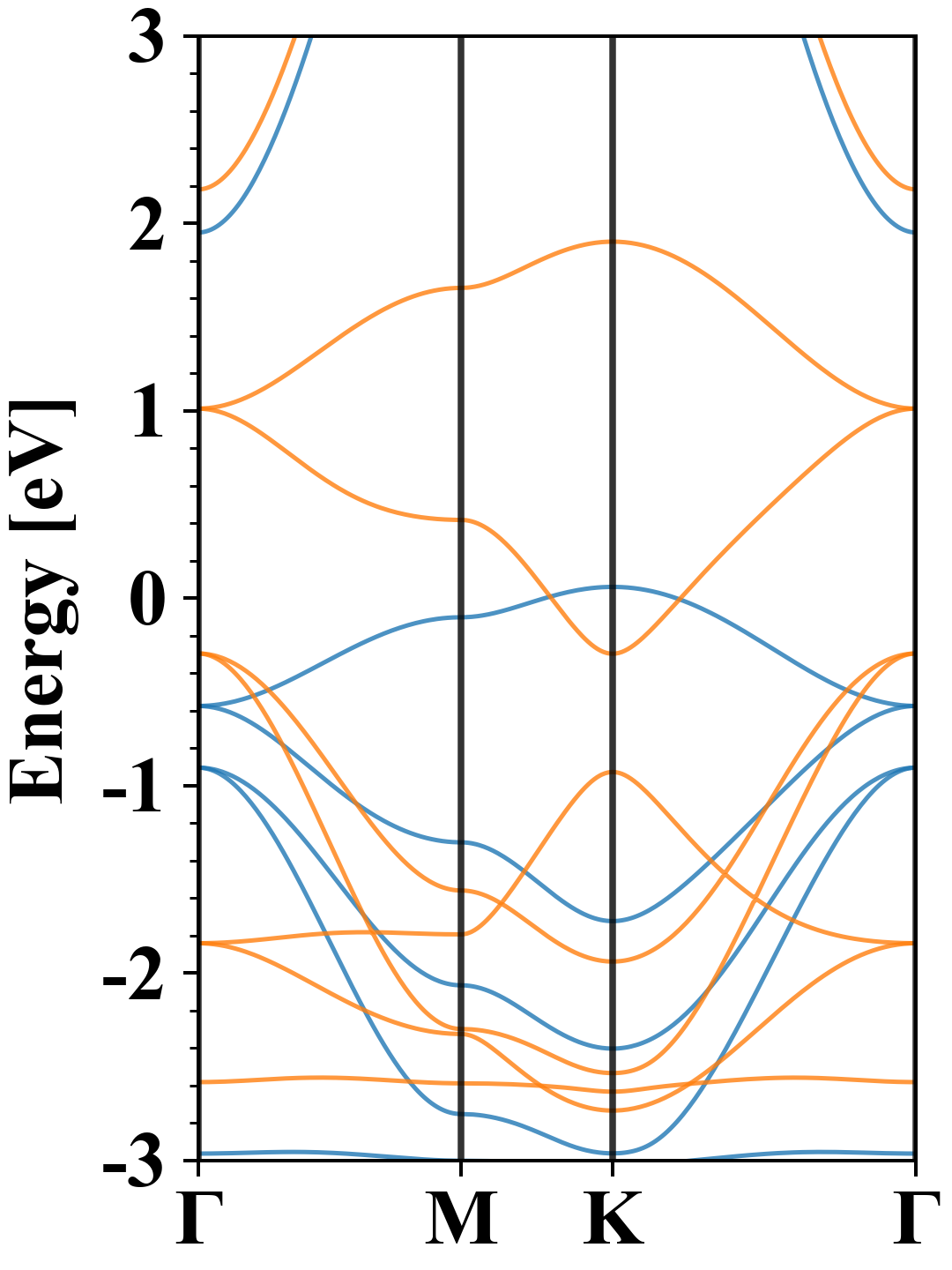
| Band gap (PBE) (eV) |
0.00 |
| Free energy (eV) |
-11.777 |
| Free energy / atom (eV) |
-3.926 |
Lattice Parameters (basic)
| a, b, c (Å): | 3.733 | 3.733 | 30.000 |
| α, β, γ (°): | 90.000 | 90.000 | 120.000 |
Lattice Parameters (computed)
| a, b, c (Å): | 3.771 | 3.771 | 30.000 |
| α, β, γ (°): | 90.000 | 90.000 | 120.000 |
| Property |
Value |
| Band gap |
0.00 eV |
| E-fermi |
-4.375 eV |
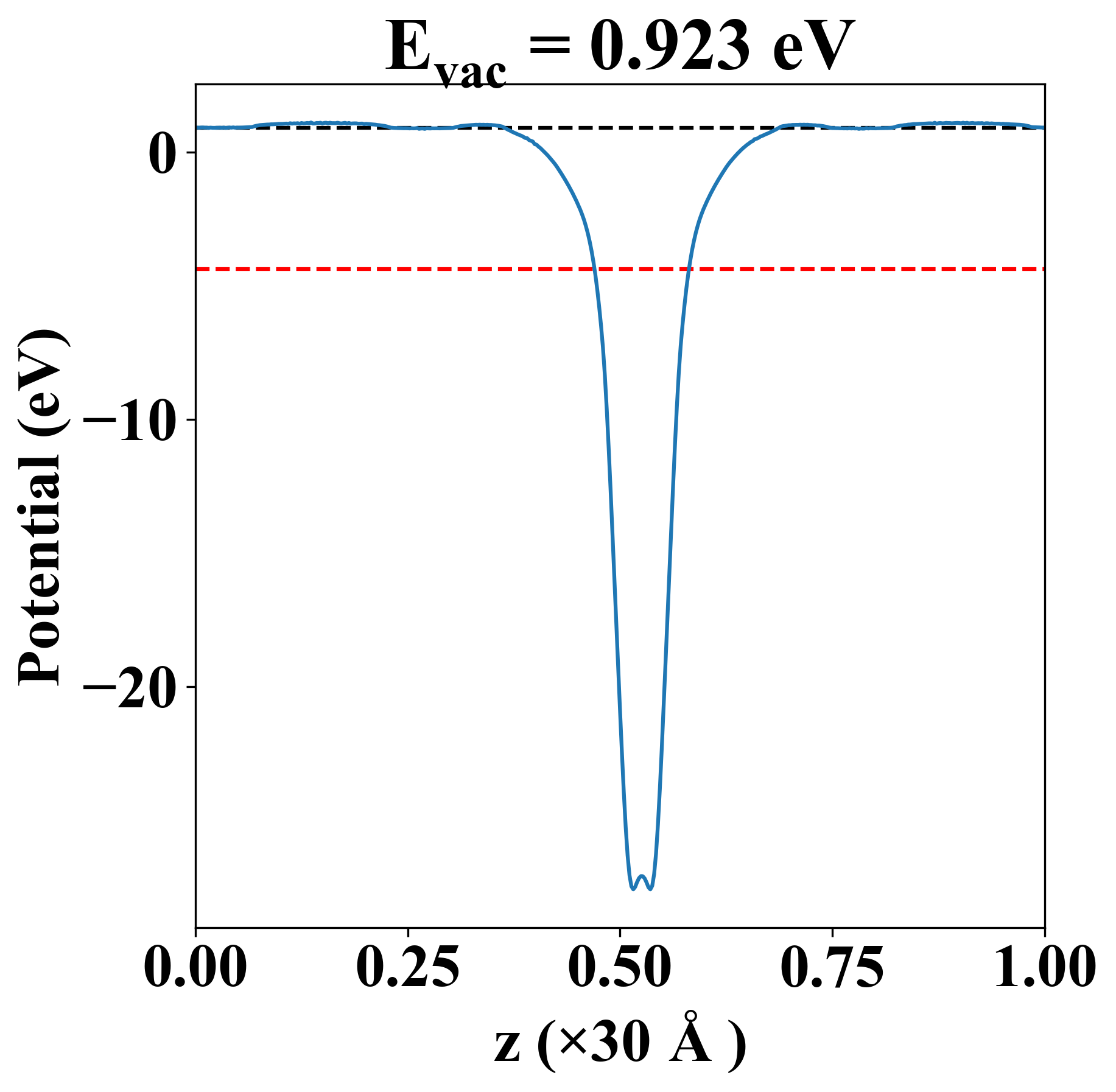
| Vacuum level |
0.923 eV |
| VBM |
-4.376 eV |
| CBM |
-4.375 eV |
| Work function |
5.299 eV |
| Direct gap |
No |
| Property |
Value |
| Band gap |
0.00 eV |
| E-fermi |
-4.375 eV |
| Vacuum level |
0.923 eV |
| VBM |
-4.376 eV |
| CBM |
-4.375 eV |
| Work function |
5.299 eV |
| Cij (N/m) |
xx |
yy |
xy |
| xx |
44.079 |
23.566 |
-0.000 |
| yy |
23.566 |
44.079 |
-0.000 |
| xy |
-0.000 |
-0.000 |
10.256 |
| Phonon mode at Γ point (THz) |
| -7.054 |
| -7.054 |
| -0.024 |
| 0.018 |
| 0.018 |
| 4.257 |
| 5.160 |
| 5.160 |
| 27.868 |
| Property |
Value |
| from where |
c2db-573 |