O2Pd1
MatHub2d-898-O2Pd1
| Property |
Value |
| Space group |
(164, 'P-3m1') |
| Crystal system |
hexagonal |
| Magnetic |
No |
| Band gap (PBE) (eV) |
1.96 |
| Free energy (eV) |
-14.320 |
| Free energy / atom (eV) |
-4.773 |
Lattice Parameters (basic)
| a, b, c (Å): | 3.094 | 3.094 | 30.000 |
| α, β, γ (°): | 90.000 | 90.000 | 120.000 |
Lattice Parameters (computed)
| a, b, c (Å): | 3.040 | 3.040 | 30.000 |
| α, β, γ (°): | 90.000 | 90.000 | 120.000 |
| Property |
Value |
| Band gap |
1.96 eV |
| E-fermi |
-6.216 eV |
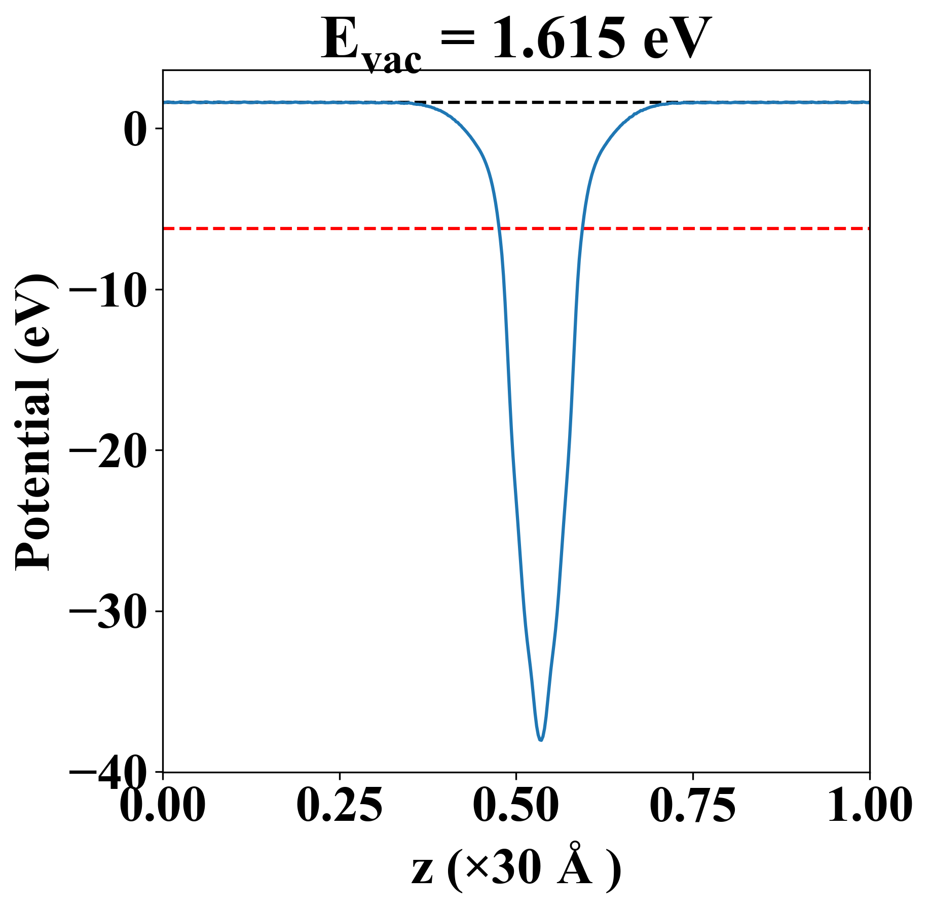
| Vacuum level |
1.615 eV |
| VBM |
-6.446 eV |
| CBM |
-4.488 eV |
| Work function |
7.831 eV |
| Direct gap |
No |
| Property |
Value |
| Band gap |
1.96 eV |
| E-fermi |
-6.150 eV |
| VBM |
-6.458 eV |
| CBM |
-4.500 eV |
| Free energy (eV) |
-14.371 |
| Free energy / atom (eV) |
-4.790 |
| Property |
Value |
| Band gap |
1.96 eV |
| E-fermi |
-6.216 eV |
| Vacuum level |
1.615 eV |
| VBM |
-6.446 eV |
| CBM |
-4.488 eV |
| Work function |
7.831 eV |
| Cij (N/m) |
xx |
yy |
xy |
| xx |
123.364 |
32.271 |
-0.000 |
| yy |
32.271 |
123.364 |
0.000 |
| xy |
-0.000 |
0.000 |
45.546 |
| Phonon mode at Γ point (THz) |
| -0.005 |
| -0.002 |
| -0.002 |
| 14.661 |
| 14.661 |
| 14.863 |
| 16.373 |
| 16.373 |
| 17.788 |
| Property |
Value |
| from where |
c2db-572 |