O2Pb1
MatHub2d-897-O2Pb1
| Property |
Value |
| Space group |
(187, 'P-6m2') |
| Crystal system |
hexagonal |
| Magnetic |
No |
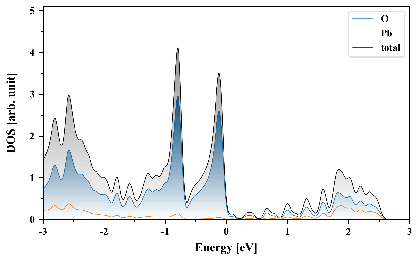
| Band gap (PBE) (eV) |
0.00 |
| Free energy (eV) |
-14.547 |
| Free energy / atom (eV) |
-4.849 |
Lattice Parameters (basic)
| a, b, c (Å): | 3.265 | 3.265 | 30.000 |
| α, β, γ (°): | 90.000 | 90.000 | 120.000 |
Lattice Parameters (computed)
| a, b, c (Å): | 3.277 | 3.277 | 30.000 |
| α, β, γ (°): | 90.000 | 90.000 | 120.000 |
| Property |
Value |
| Band gap |
0.00 eV |
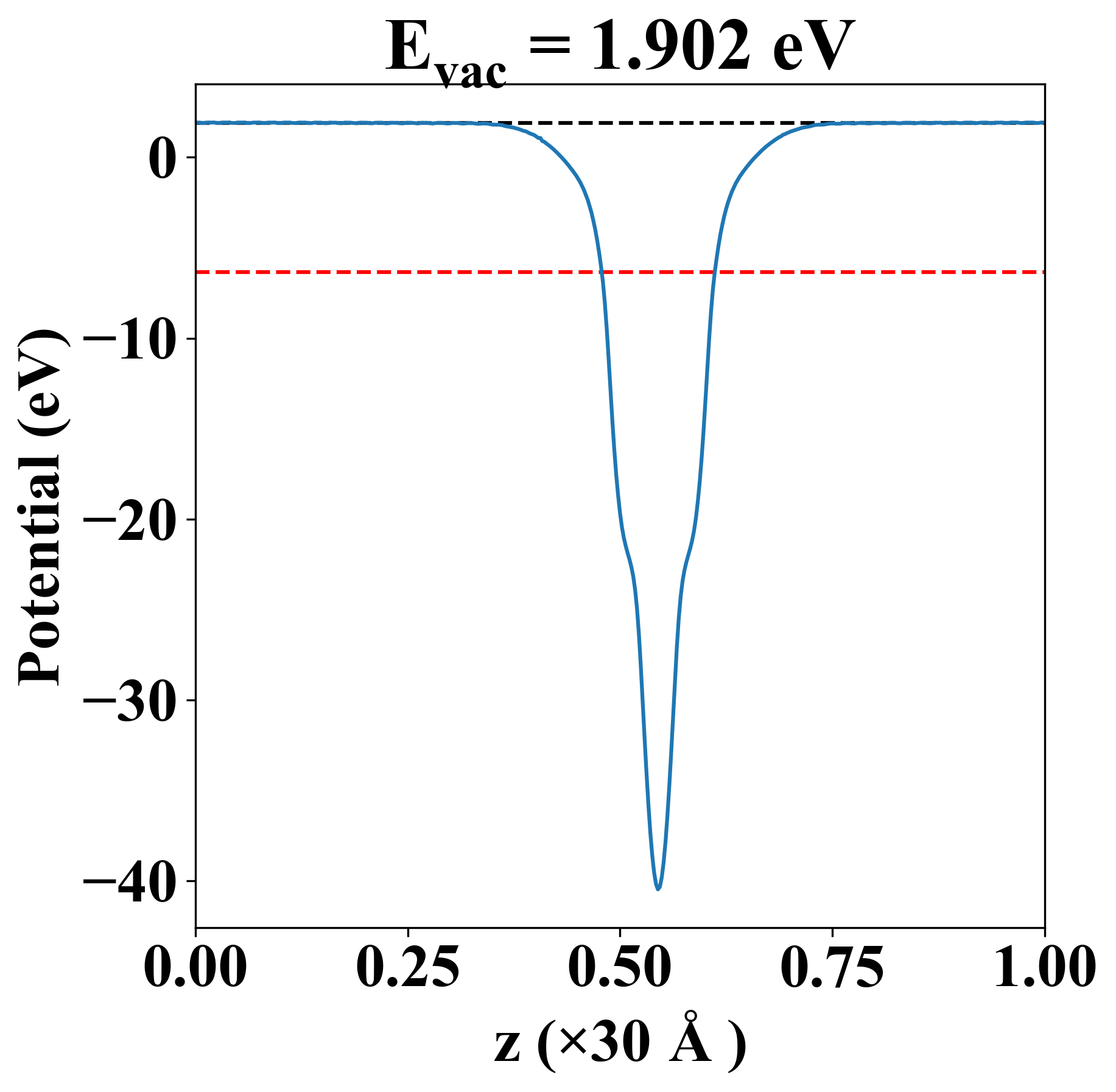
| E-fermi |
-6.343 eV |
| Vacuum level |
1.902 eV |
| VBM |
-6.348 eV |
| CBM |
-6.342 eV |
| Work function |
8.244 eV |
| Direct gap |
No |
| Property |
Value |
| Band gap |
0.00 eV |
| E-fermi |
-6.343 eV |
| Vacuum level |
1.902 eV |
| VBM |
-6.348 eV |
| CBM |
-6.342 eV |
| Work function |
8.244 eV |
| Cij (N/m) |
xx |
yy |
xy |
| xx |
107.292 |
33.965 |
0.000 |
| yy |
33.965 |
107.292 |
-0.000 |
| xy |
0.000 |
-0.000 |
36.664 |
| Phonon mode at Γ point (THz) |
| -2.172 |
| -2.172 |
| -0.008 |
| -0.008 |
| -0.003 |
| 8.191 |
| 8.191 |
| 12.264 |
| 15.523 |
| Property |
Value |
| from where |
c2db-565 |