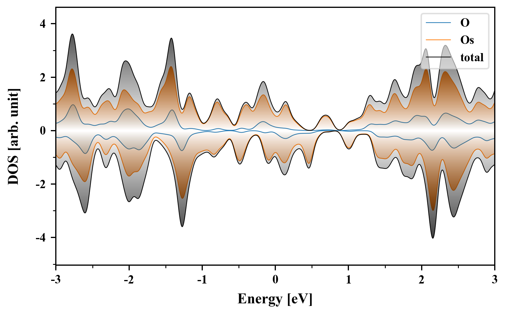
O2Os2
MatHub2d-895-O2Os2
| Property |
Value |
| Space group |
(187, 'P-6m2') |
| Crystal system |
hexagonal |
| Magnetic |
Yes |
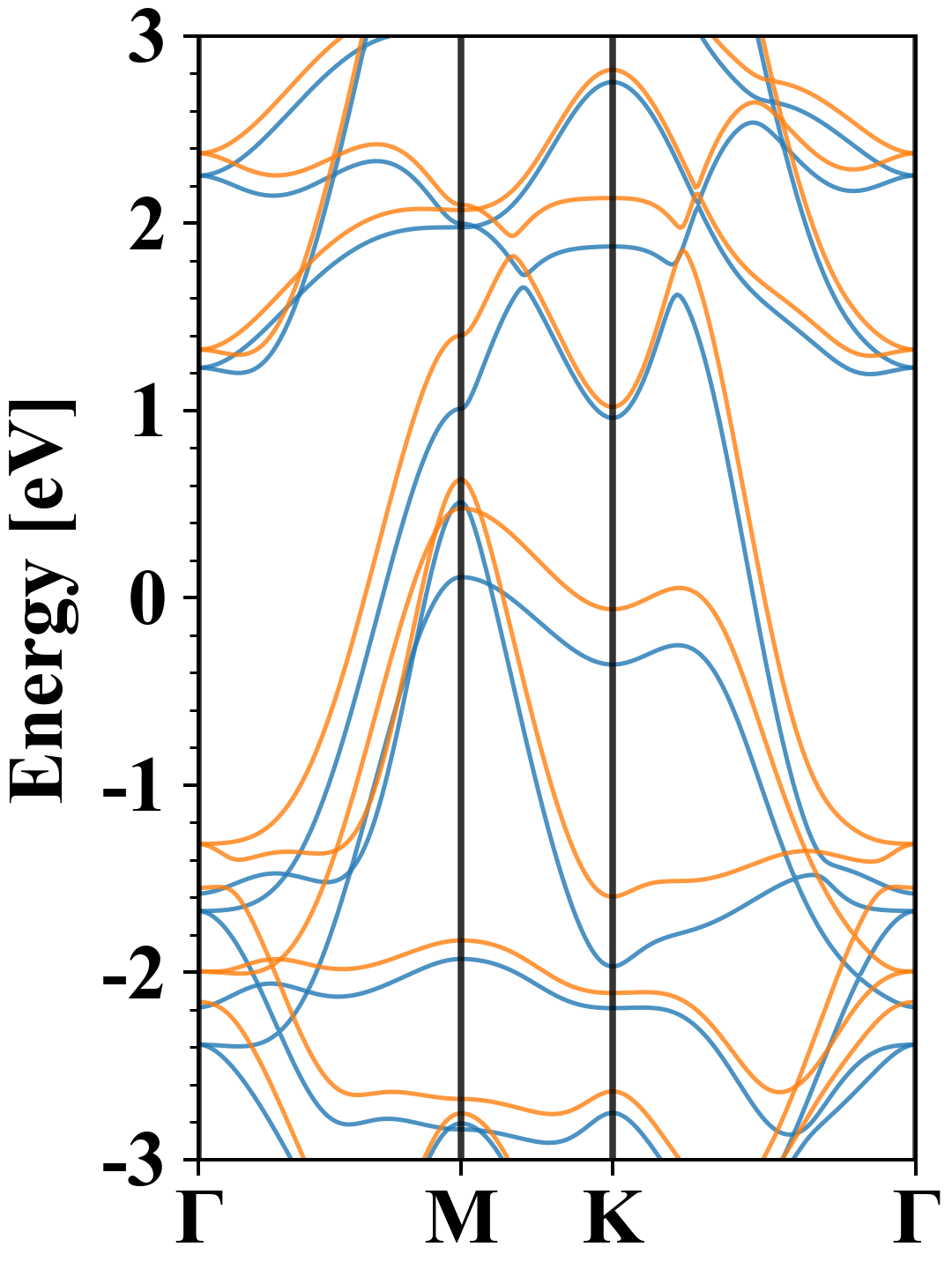
| Band gap (PBE) (eV) |
0.00 |
| Free energy (eV) |
-27.657 |
| Free energy / atom (eV) |
-6.914 |
Lattice Parameters (basic)
| a, b, c (Å): | 2.754 | 2.754 | 30.000 |
| α, β, γ (°): | 90.000 | 90.000 | 120.000 |
Lattice Parameters (computed)
| a, b, c (Å): | 2.762 | 2.762 | 30.000 |
| α, β, γ (°): | 90.000 | 90.000 | 120.000 |
| Property |
Value |
| Band gap |
0.00 eV |
| E-fermi |
-3.408 eV |
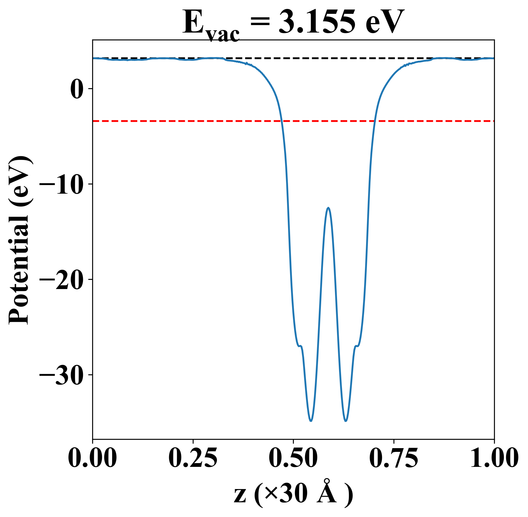
| Vacuum level |
3.155 eV |
| VBM |
-3.408 eV |
| CBM |
-3.408 eV |
| Work function |
6.564 eV |
| Direct gap |
No |
| Property |
Value |
| Band gap |
0.00 eV |
| E-fermi |
-3.408 eV |
| Vacuum level |
3.155 eV |
| VBM |
-3.408 eV |
| CBM |
-3.408 eV |
| Work function |
6.564 eV |
| Cij (N/m) |
xx |
yy |
xy |
| xx |
350.103 |
107.608 |
-0.000 |
| yy |
107.608 |
350.103 |
0.000 |
| xy |
-0.000 |
0.000 |
121.248 |
| Phonon mode at Γ point (THz) |
| -0.783 |
| -0.783 |
| -0.001 |
| 0.000 |
| 0.000 |
| 4.784 |
| 14.990 |
| 14.990 |
| 15.298 |
| 15.298 |
| 19.415 |
| 19.495 |
| Property |
Value |
| from where |
c2db-1666 |