O2Os1
MatHub2d-894-O2Os1
| Property |
Value |
| Space group |
(187, 'P-6m2') |
| Crystal system |
hexagonal |
| Magnetic |
Yes |
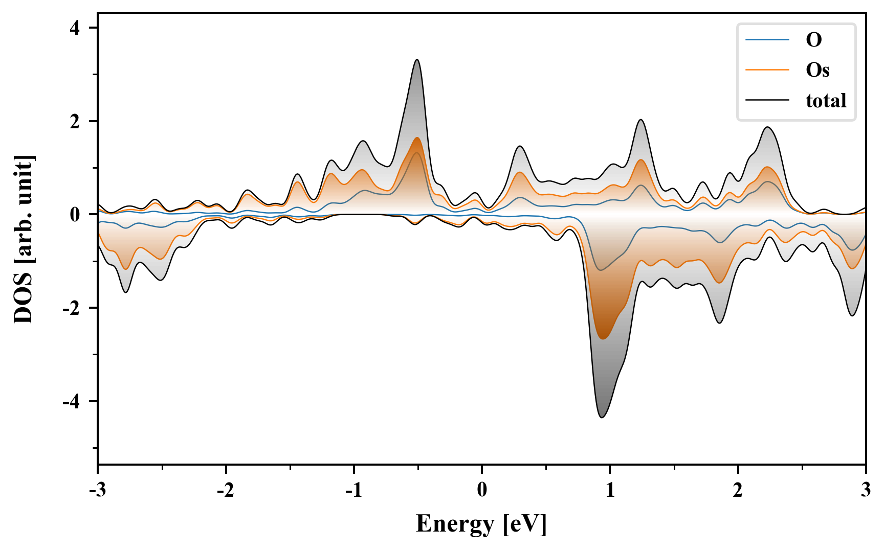
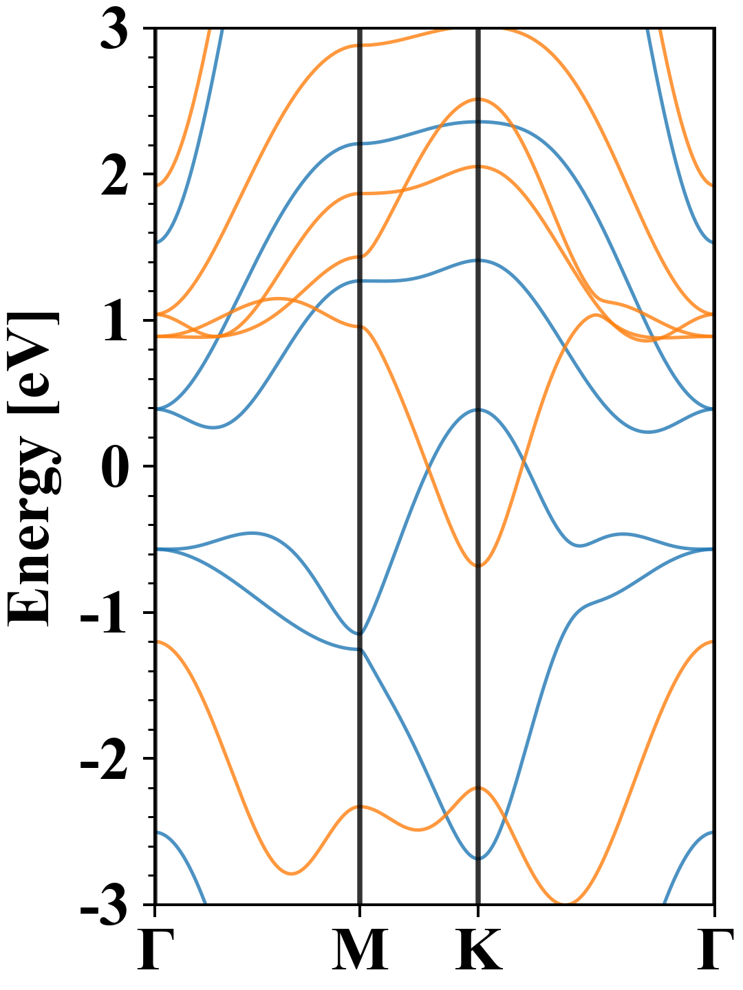
| Band gap (PBE) (eV) |
0.00 |
| Free energy (eV) |
-19.036 |
| Free energy / atom (eV) |
-6.345 |
Lattice Parameters (basic)
| a, b, c (Å): | 2.919 | 2.919 | 30.000 |
| α, β, γ (°): | 90.000 | 90.000 | 120.000 |
Lattice Parameters (computed)
| a, b, c (Å): | 2.889 | 2.889 | 30.000 |
| α, β, γ (°): | 90.000 | 90.000 | 120.000 |
| Property |
Value |
| Band gap |
0.00 eV |
| E-fermi |
-4.529 eV |
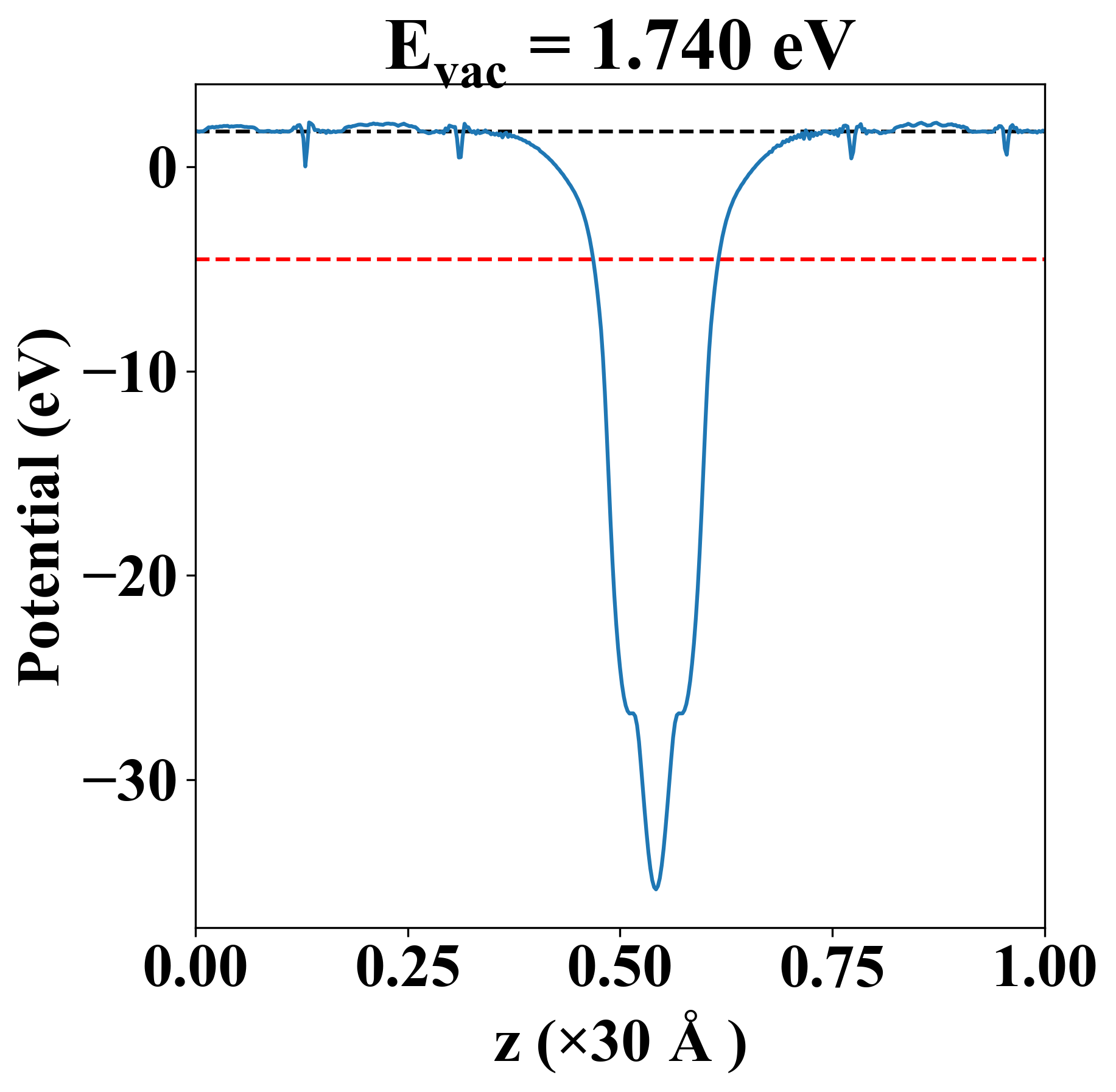
| Vacuum level |
1.740 eV |
| VBM |
-4.535 eV |
| CBM |
-4.525 eV |
| Work function |
6.269 eV |
| Direct gap |
No |
| Property |
Value |
| Band gap |
0.00 eV |
| E-fermi |
-4.529 eV |
| Vacuum level |
1.740 eV |
| VBM |
-4.535 eV |
| CBM |
-4.525 eV |
| Work function |
6.269 eV |
| Cij (N/m) |
xx |
yy |
xy |
| xx |
-104.159 |
21.041 |
-0.000 |
| yy |
21.041 |
-104.159 |
0.000 |
| xy |
-0.000 |
0.000 |
-62.600 |
| Phonon mode at Γ point (THz) |
| -15.302 |
| -15.302 |
| -14.191 |
| -14.191 |
| -0.050 |
| 0.059 |
| 0.059 |
| 4.365 |
| 12.869 |
| Property |
Value |
| from where |
c2db-556 |