O2Os1
MatHub2d-893-O2Os1
| Property |
Value |
| Space group |
(164, 'P-3m1') |
| Crystal system |
hexagonal |
| Magnetic |
Yes |
| Band gap (PBE) (eV) |
0.00 |
| Free energy (eV) |
-20.365 |
| Free energy / atom (eV) |
-6.788 |
Lattice Parameters (basic)
| a, b, c (Å): | 3.056 | 3.056 | 30.000 |
| α, β, γ (°): | 90.000 | 90.000 | 120.000 |
Lattice Parameters (computed)
| a, b, c (Å): | 3.130 | 3.130 | 30.000 |
| α, β, γ (°): | 90.000 | 90.000 | 120.000 |
| Property |
Value |
| Band gap |
0.00 eV |
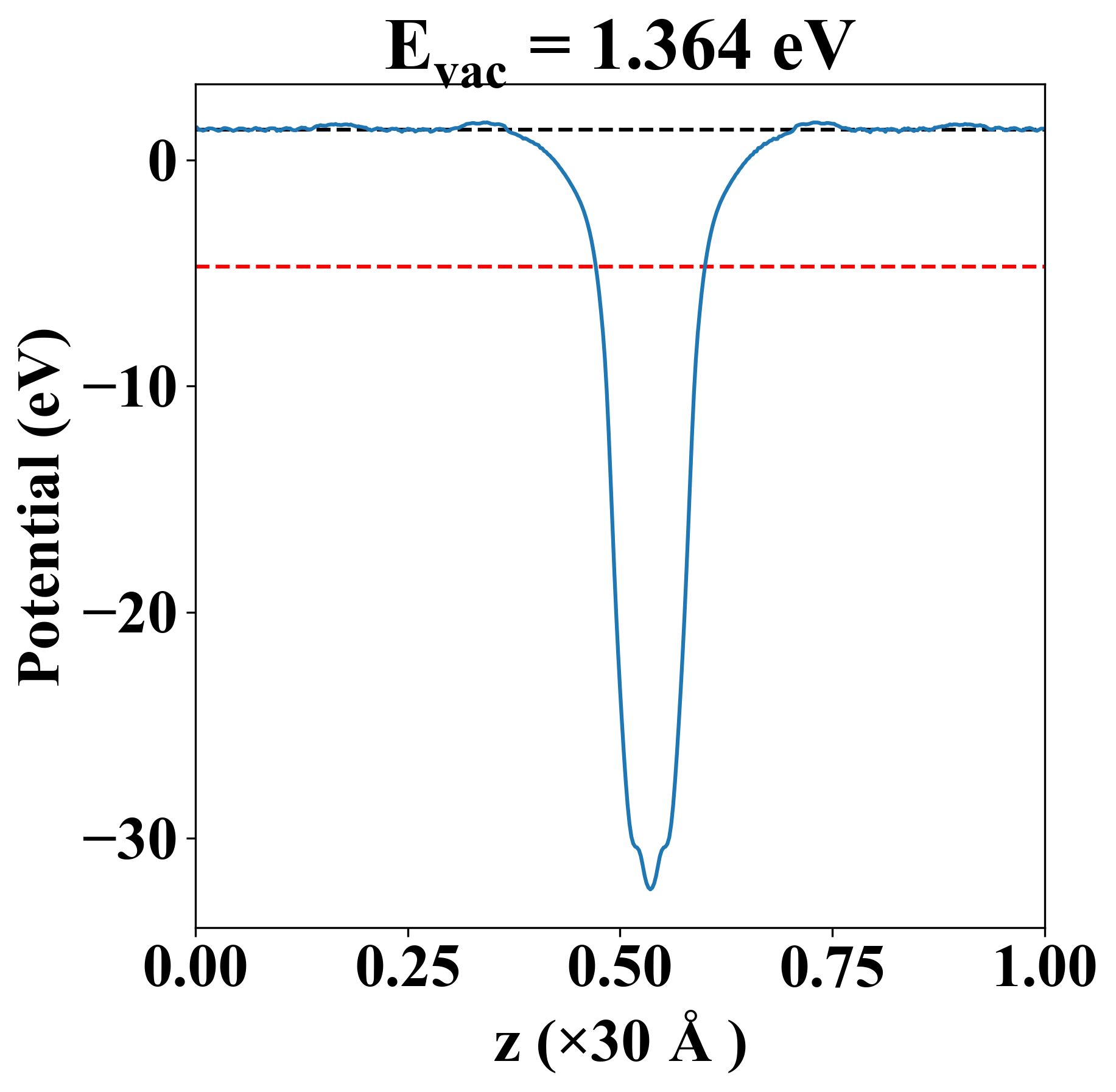
| E-fermi |
-4.696 eV |
| Vacuum level |
1.364 eV |
| VBM |
-4.696 eV |
| CBM |
-4.694 eV |
| Work function |
6.060 eV |
| Direct gap |
No |
| Property |
Value |
| Band gap |
0.00 eV |
| E-fermi |
-4.696 eV |
| Vacuum level |
1.364 eV |
| VBM |
-4.696 eV |
| CBM |
-4.694 eV |
| Work function |
6.060 eV |
| Cij (N/m) |
xx |
yy |
xy |
| xx |
0.469 |
95.280 |
0.000 |
| yy |
95.280 |
0.469 |
-0.000 |
| xy |
0.000 |
-0.000 |
-47.406 |
| Phonon mode at Γ point (THz) |
| -0.008 |
| -0.001 |
| -0.001 |
| 8.899 |
| 11.610 |
| 11.610 |
| 12.944 |
| 12.944 |
| 13.081 |
| Property |
Value |
| from where |
c2db-555 |