O1Tl2
MatHub2d-892-O1Tl2
| Property |
Value |
| Space group |
(164, 'P-3m1') |
| Crystal system |
hexagonal |
| Magnetic |
No |
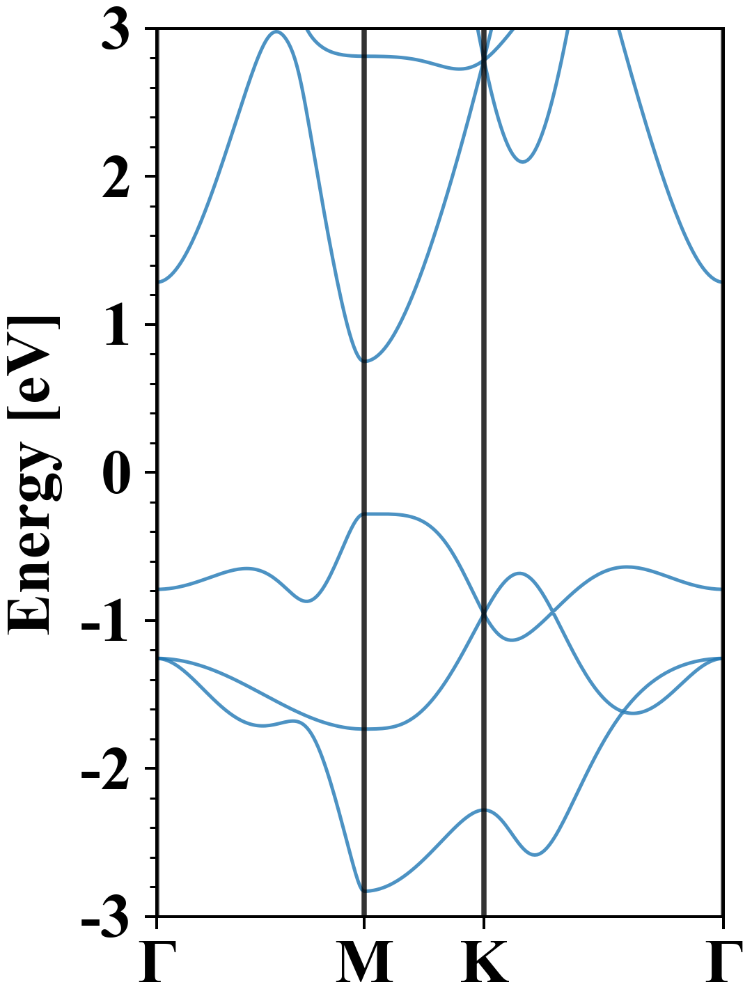
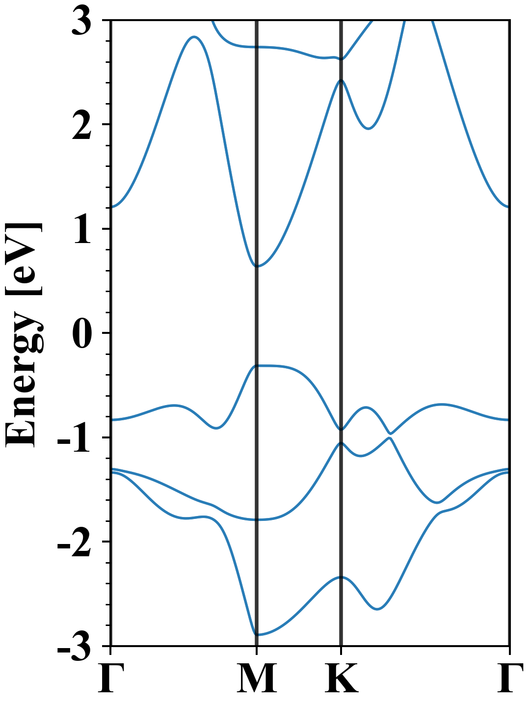
| Band gap (PBE) (eV) |
1.03 |
| Free energy (eV) |
-11.123 |
| Free energy / atom (eV) |
-3.708 |
Lattice Parameters (basic)
| a, b, c (Å): | 3.557 | 3.557 | 30.000 |
| α, β, γ (°): | 90.000 | 90.000 | 120.000 |
Lattice Parameters (computed)
| a, b, c (Å): | 3.596 | 3.596 | 30.000 |
| α, β, γ (°): | 90.000 | 90.000 | 120.000 |
| Property |
Value |
| Band gap |
1.03 eV |
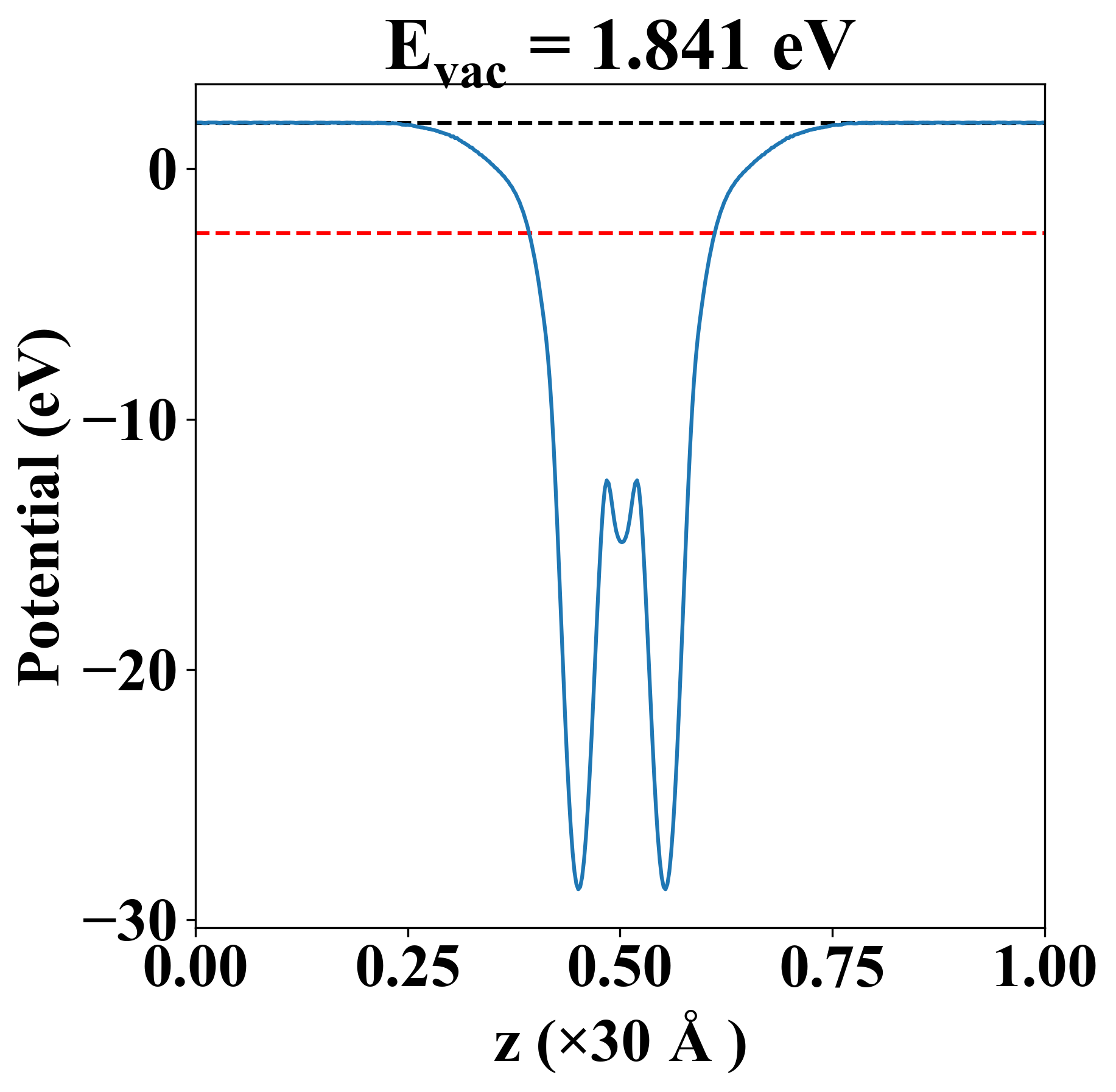
| E-fermi |
-2.560 eV |
| Vacuum level |
1.841 eV |
| VBM |
-2.841 eV |
| CBM |
-1.811 eV |
| Work function |
4.402 eV |
| Direct gap |
No |
| Property |
Value |
| Band gap |
0.95 eV |
| E-fermi |
-2.585 eV |
| VBM |
-2.898 eV |
| CBM |
-1.946 eV |
| Free energy (eV) |
-11.556 |
| Free energy / atom (eV) |
-3.852 |
| Property |
Value |
| Band gap |
1.03 eV |
| E-fermi |
-2.560 eV |
| Vacuum level |
1.841 eV |
| VBM |
-2.841 eV |
| CBM |
-1.811 eV |
| Work function |
4.402 eV |
| Cij (N/m) |
xx |
yy |
xy |
| xx |
29.078 |
11.067 |
0.000 |
| yy |
11.067 |
29.078 |
0.000 |
| xy |
0.000 |
0.000 |
9.005 |
| Phonon mode at Γ point (THz) |
| -0.010 |
| -0.010 |
| -0.007 |
| 1.157 |
| 1.157 |
| 2.948 |
| 3.203 |
| 3.203 |
| 11.001 |
| Property |
Value |
| from where |
JVASP-28013 |