O1Ti2
MatHub2d-891-O1Ti2
| Property |
Value |
| Space group |
(164, 'P-3m1') |
| Crystal system |
hexagonal |
| Magnetic |
Yes |
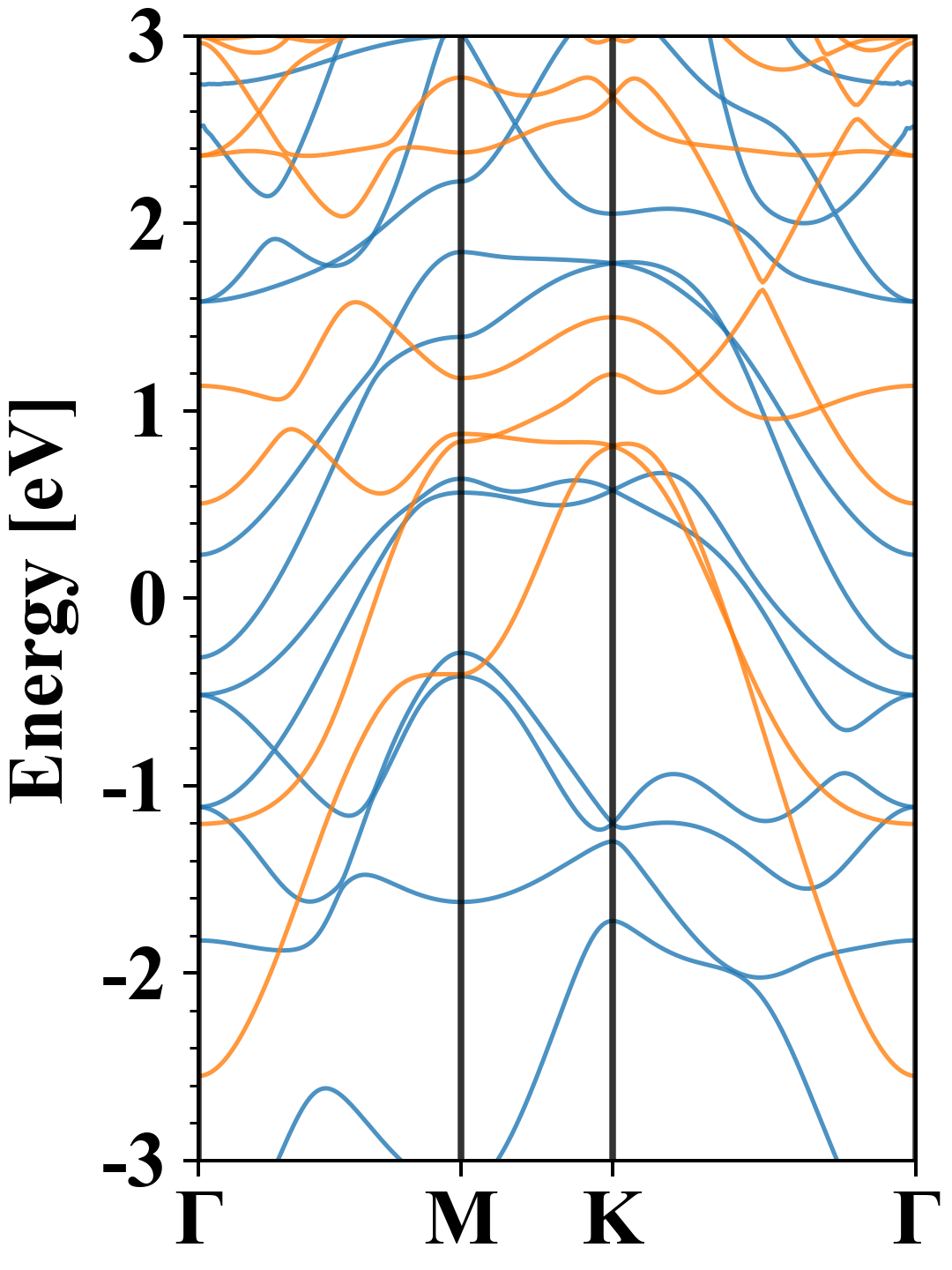
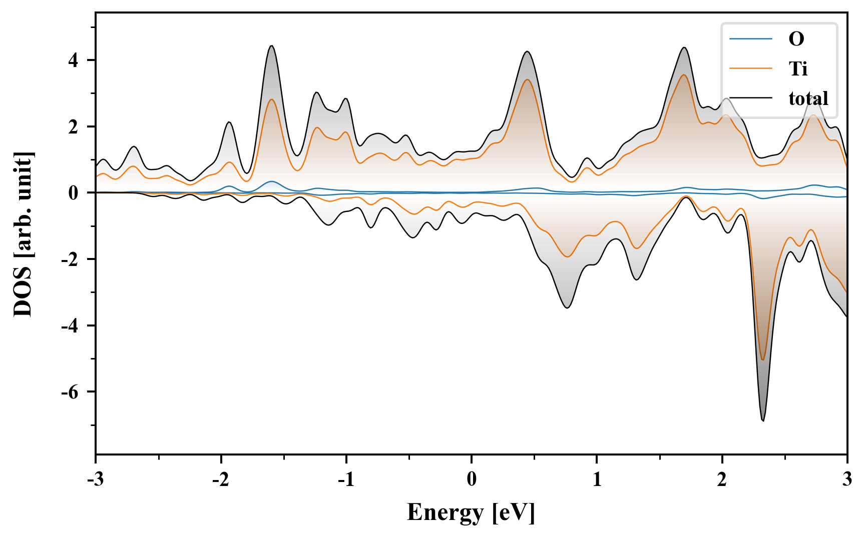
| Band gap (PBE) (eV) |
0.00 |
| Free energy (eV) |
-17.169 |
| Free energy / atom (eV) |
-5.723 |
Lattice Parameters (basic)
| a, b, c (Å): | 2.830 | 2.830 | 30.000 |
| α, β, γ (°): | 90.000 | 90.000 | 120.000 |
Lattice Parameters (computed)
| a, b, c (Å): | 2.979 | 2.979 | 30.000 |
| α, β, γ (°): | 90.000 | 90.000 | 120.000 |
| Property |
Value |
| Band gap |
0.00 eV |
| E-fermi |
-1.764 eV |
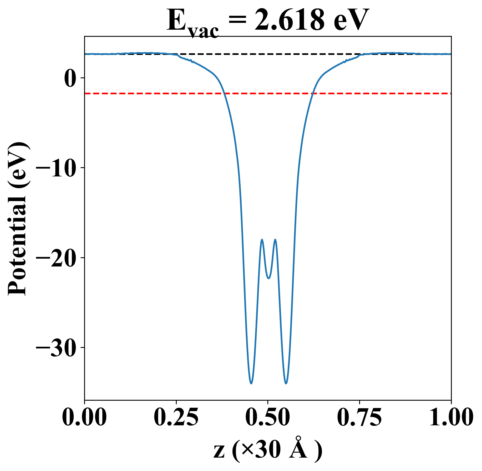
| Vacuum level |
2.618 eV |
| VBM |
-1.764 eV |
| CBM |
-1.763 eV |
| Work function |
4.382 eV |
| Direct gap |
No |
| Property |
Value |
| Band gap |
0.00 eV |
| E-fermi |
-1.764 eV |
| Vacuum level |
2.618 eV |
| VBM |
-1.764 eV |
| CBM |
-1.763 eV |
| Work function |
4.382 eV |
| Cij (N/m) |
xx |
yy |
xy |
| xx |
79.749 |
17.277 |
0.000 |
| yy |
17.277 |
79.749 |
-0.000 |
| xy |
0.000 |
-0.000 |
31.236 |
| Phonon mode at Γ point (THz) |
| -0.006 |
| 0.001 |
| 0.001 |
| 1.325 |
| 1.325 |
| 5.155 |
| 6.164 |
| 6.164 |
| 11.453 |
| Property |
Value |
| from where |
JVASP-768 |