O1Sn1
MatHub2d-890-O1Sn1
| Property |
Value |
| Space group |
(156, 'P3m1') |
| Crystal system |
hexagonal |
| Magnetic |
No |
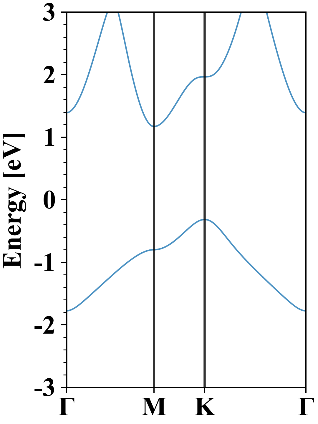
| Band gap (PBE) (eV) |
1.49 |
| Free energy (eV) |
-10.873 |
| Free energy / atom (eV) |
-5.437 |
Lattice Parameters (basic)
| a, b, c (Å): | 3.343 | 3.343 | 30.000 |
| α, β, γ (°): | 90.000 | 90.000 | 120.000 |
Lattice Parameters (computed)
| a, b, c (Å): | 3.296 | 3.296 | 30.000 |
| α, β, γ (°): | 90.000 | 90.000 | 120.000 |
| Property |
Value |
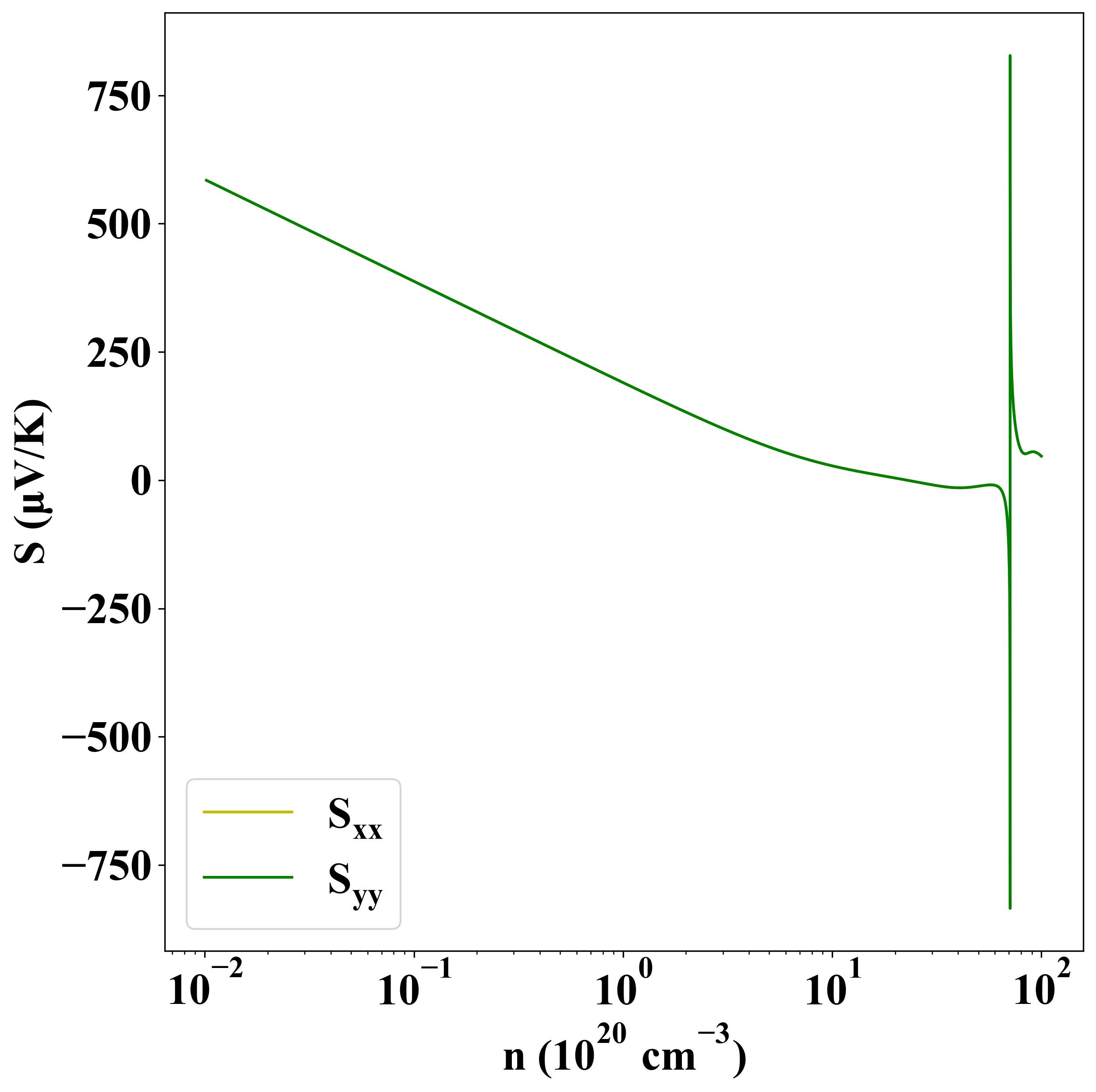
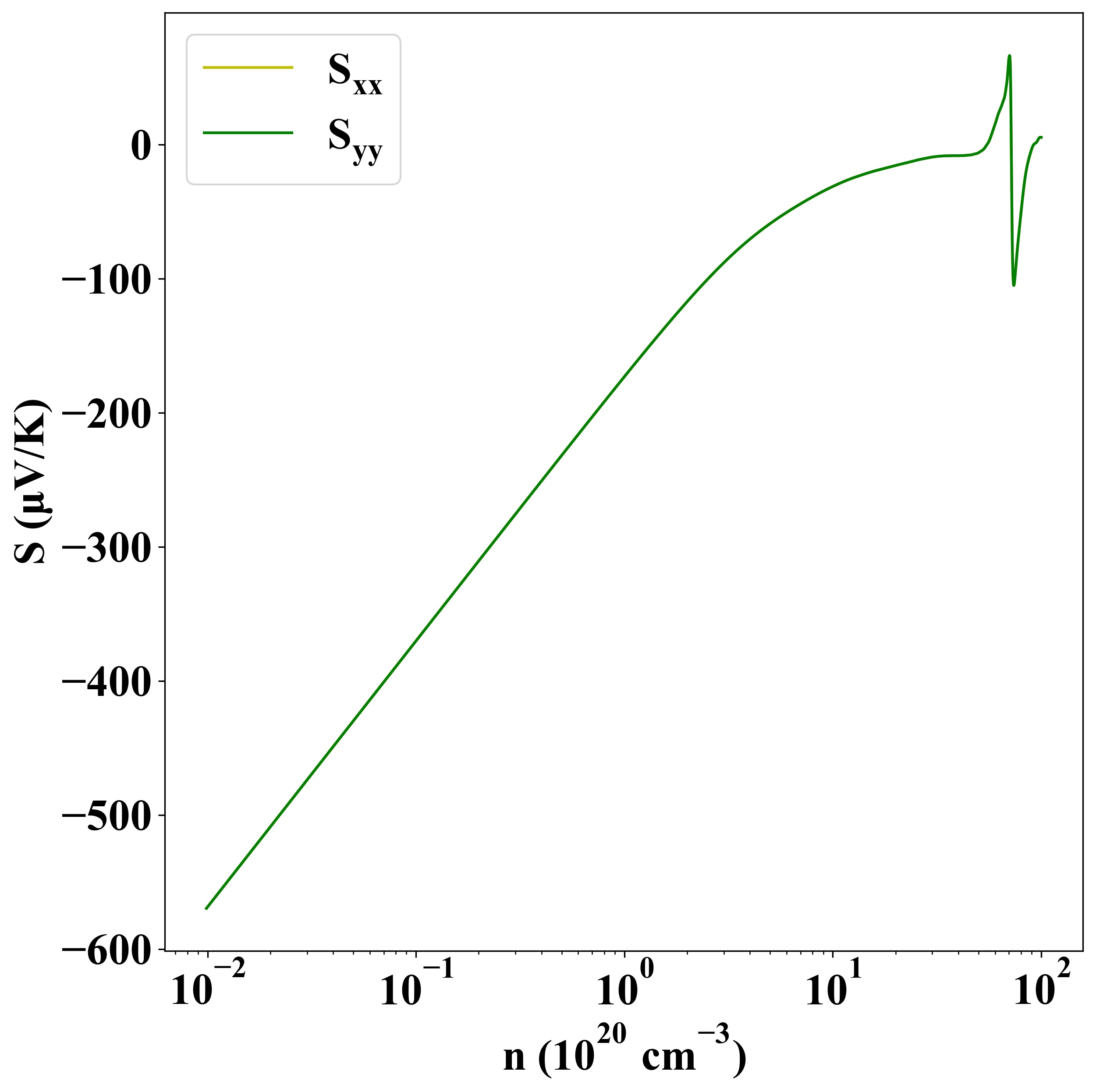
| Band gap |
1.49 eV |
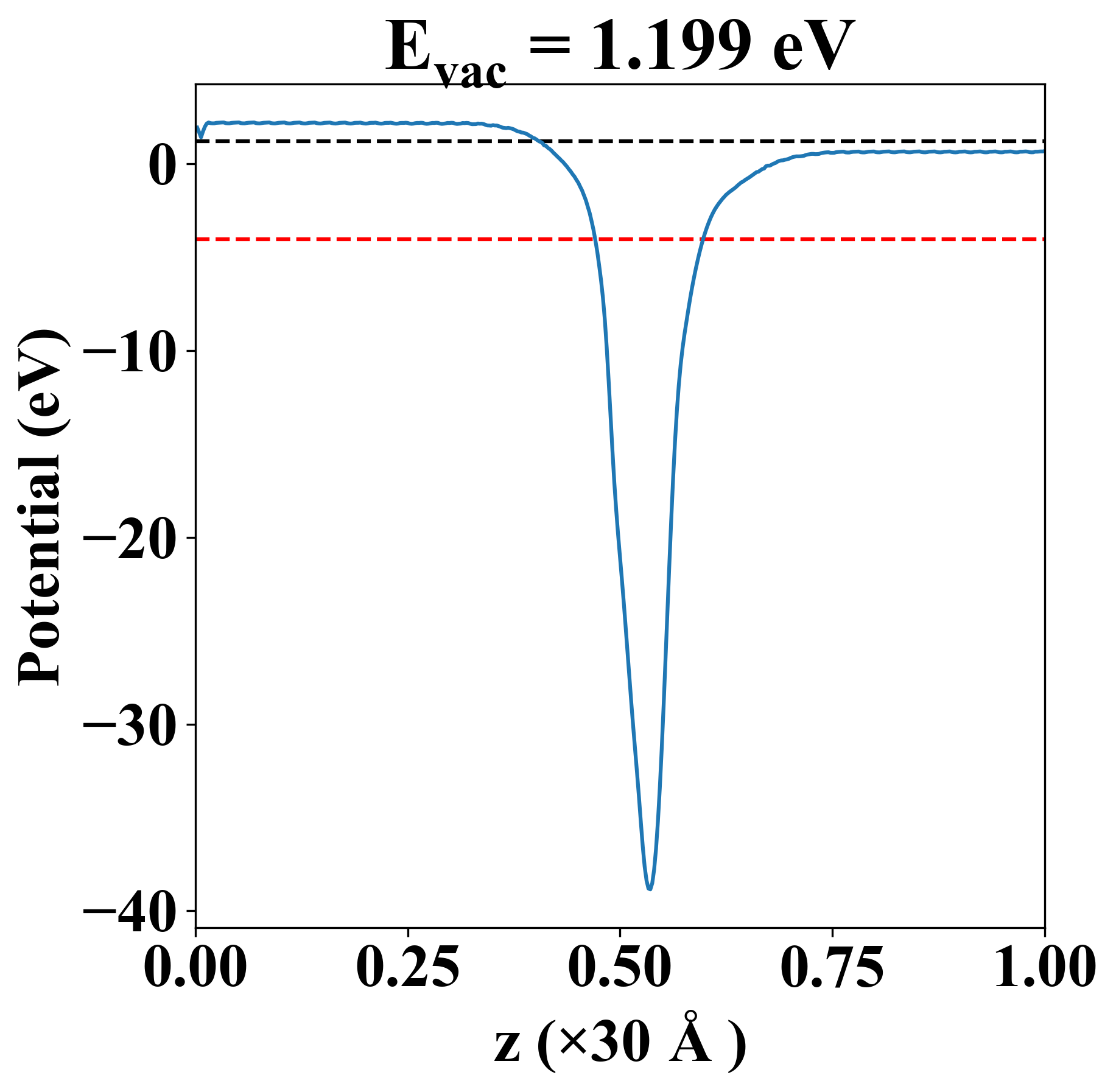
| E-fermi |
-4.048 eV |
| Vacuum level |
1.199 eV |
| VBM |
-4.364 eV |
| CBM |
-2.878 eV |
| Work function |
5.247 eV |
| Direct gap |
No |
| Property |
Value |
| Band gap |
1.48 eV |
| E-fermi |
-4.013 eV |
| VBM |
-4.285 eV |
| CBM |
-2.803 eV |
| Free energy (eV) |
-10.915 |
| Free energy / atom (eV) |
-5.457 |
| Property |
Value |
| Band gap |
1.49 eV |
| E-fermi |
-4.048 eV |
| Vacuum level |
1.199 eV |
| VBM |
-4.364 eV |
| CBM |
-2.878 eV |
| Work function |
5.247 eV |
| Cij (N/m) |
xx |
yy |
xy |
| xx |
41.866 |
15.690 |
0.000 |
| yy |
15.690 |
41.866 |
-0.000 |
| xy |
0.000 |
-0.000 |
13.088 |
| Phonon mode at Γ point (THz) |
| -0.013 |
| -0.001 |
| -0.001 |
| 10.476 |
| 10.476 |
| 14.117 |
| Property |
Value |
| from where |
c2db-702 |