O1Pb1
MatHub2d-889-O1Pb1
| Property |
Value |
| Space group |
(156, 'P3m1') |
| Crystal system |
hexagonal |
| Magnetic |
No |
| Band gap (PBE) (eV) |
1.65 |
| Free energy (eV) |
-10.090 |
| Free energy / atom (eV) |
-5.045 |
Lattice Parameters (basic)
| a, b, c (Å): | 3.593 | 3.593 | 30.000 |
| α, β, γ (°): | 90.000 | 90.000 | 120.000 |
Lattice Parameters (computed)
| a, b, c (Å): | 3.615 | 3.615 | 30.000 |
| α, β, γ (°): | 90.000 | 90.000 | 120.000 |
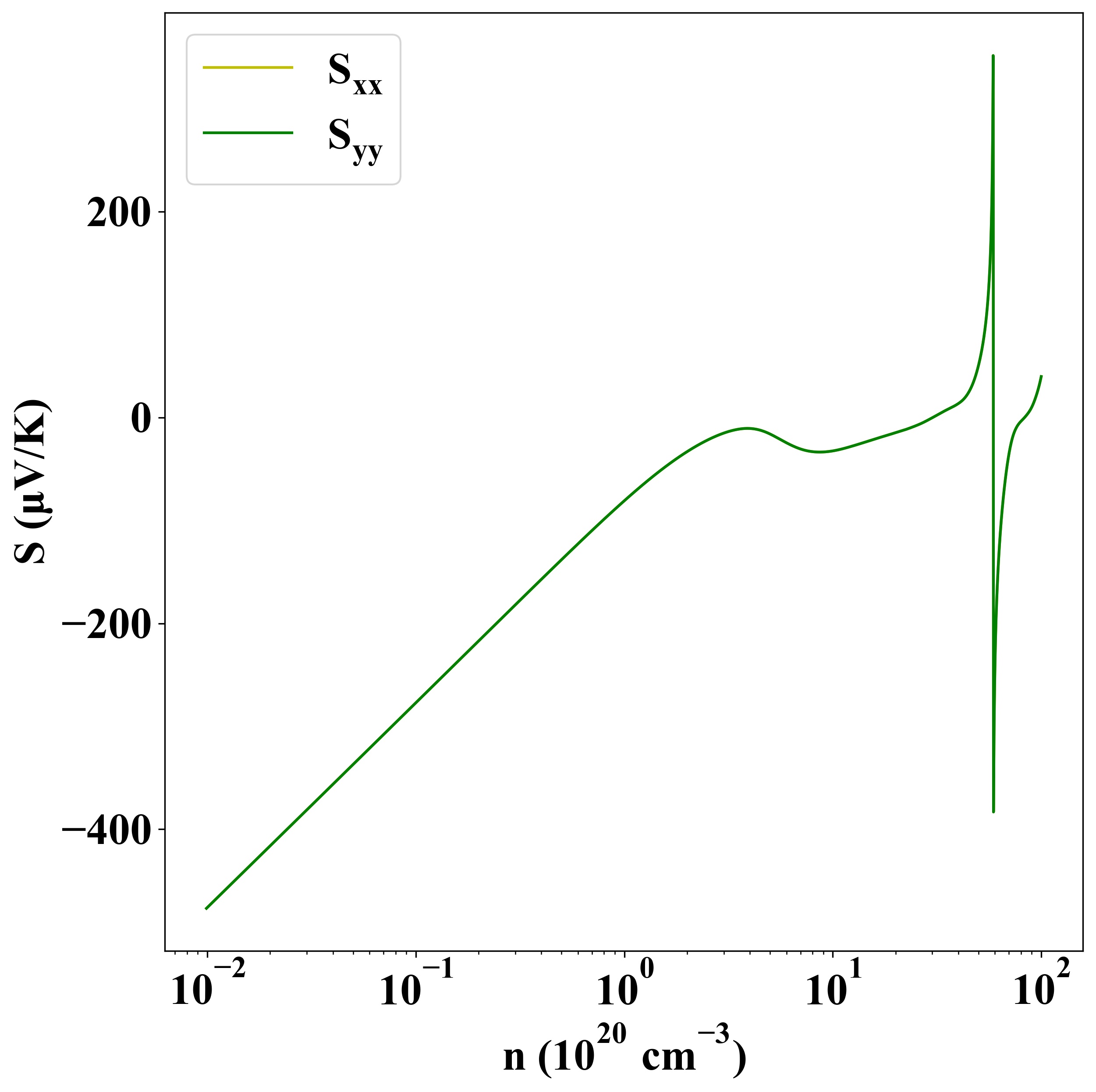
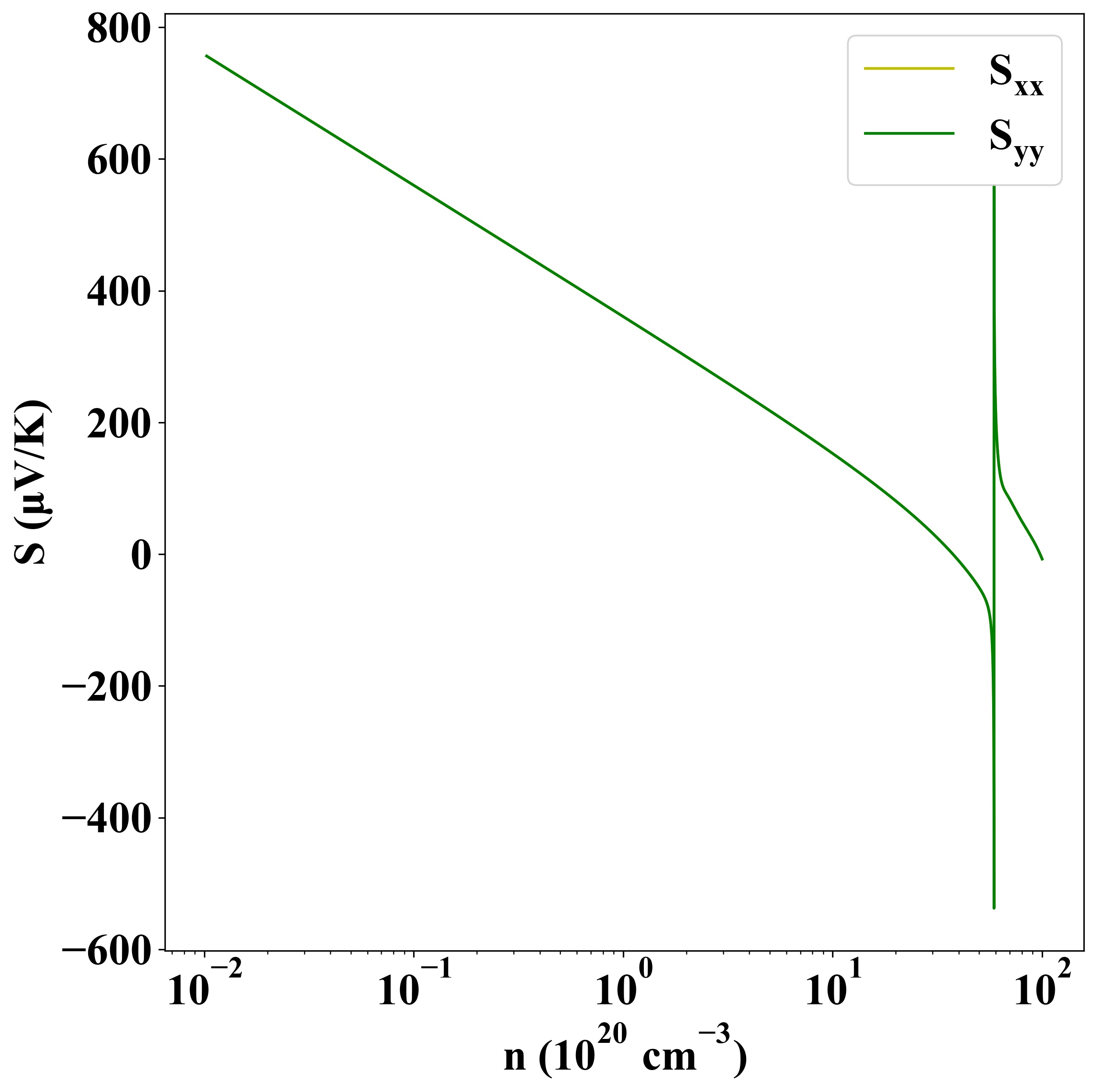
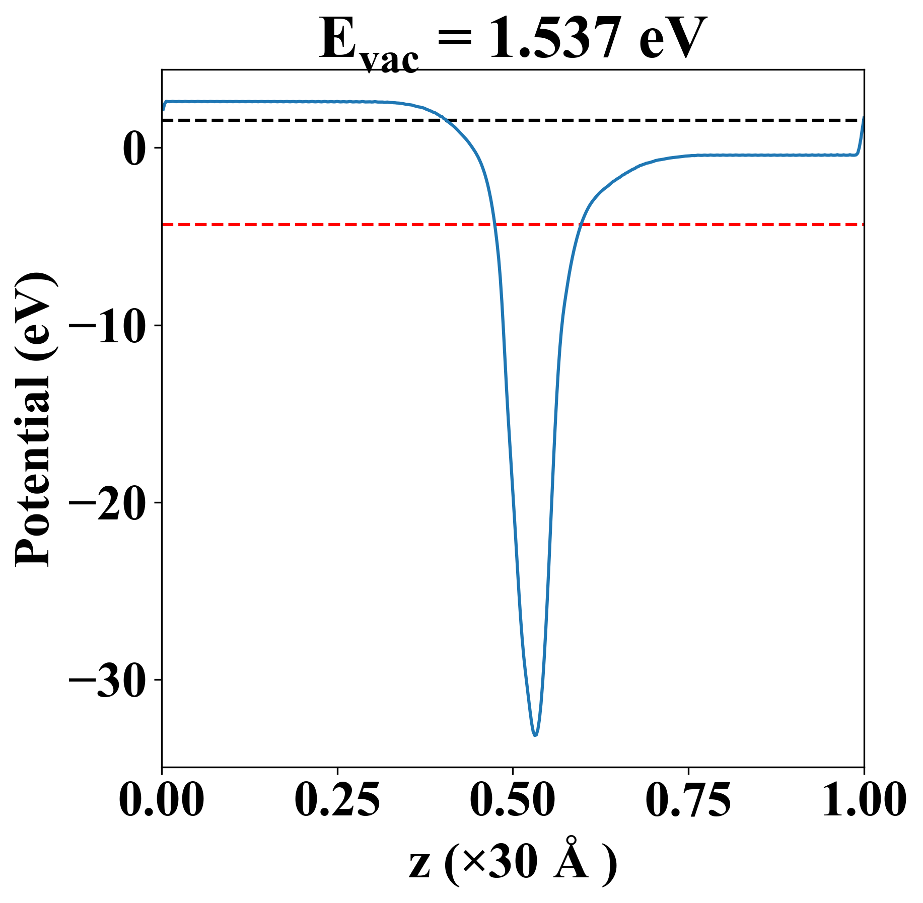
| Property |
Value |
| Band gap |
1.65 eV |
| E-fermi |
-4.350 eV |
| Vacuum level |
1.537 eV |
| VBM |
-4.618 eV |
| CBM |
-2.964 eV |
| Work function |
5.887 eV |
| Direct gap |
No |
| Property |
Value |
| Band gap |
1.63 eV |
| E-fermi |
-4.294 eV |
| VBM |
-4.502 eV |
| CBM |
-2.870 eV |
| Free energy (eV) |
-10.483 |
| Free energy / atom (eV) |
-5.241 |
| Property |
Value |
| Band gap |
1.65 eV |
| E-fermi |
-4.350 eV |
| Vacuum level |
1.537 eV |
| VBM |
-4.618 eV |
| CBM |
-2.964 eV |
| Work function |
5.887 eV |
| Cij (N/m) |
xx |
yy |
xy |
| xx |
22.731 |
8.026 |
-0.000 |
| yy |
8.026 |
22.731 |
0.000 |
| xy |
-0.000 |
0.000 |
7.352 |
| Phonon mode at Γ point (THz) |
| -0.009 |
| -0.005 |
| -0.005 |
| 9.511 |
| 9.511 |
| 10.695 |
| Property |
Value |
| from where |
c2db-698 |