O18Te8
MatHub2d-888-O18Te8
| Property |
Value |
| Space group |
(147, 'P-3') |
| Crystal system |
hexagonal |
| Magnetic |
No |
| Band gap (PBE) (eV) |
2.61 |
| Free energy (eV) |
-138.872 |
| Free energy / atom (eV) |
-5.341 |
Lattice Parameters (basic)
| a, b, c (Å): | 9.422 | 9.422 | 30.000 |
| α, β, γ (°): | 90.000 | 90.000 | 120.000 |
Lattice Parameters (computed)
| a, b, c (Å): | 9.481 | 9.481 | 30.000 |
| α, β, γ (°): | 90.000 | 90.000 | 120.000 |
| Property |
Value |
| Band gap |
2.61 eV |
| E-fermi |
-4.860 eV |
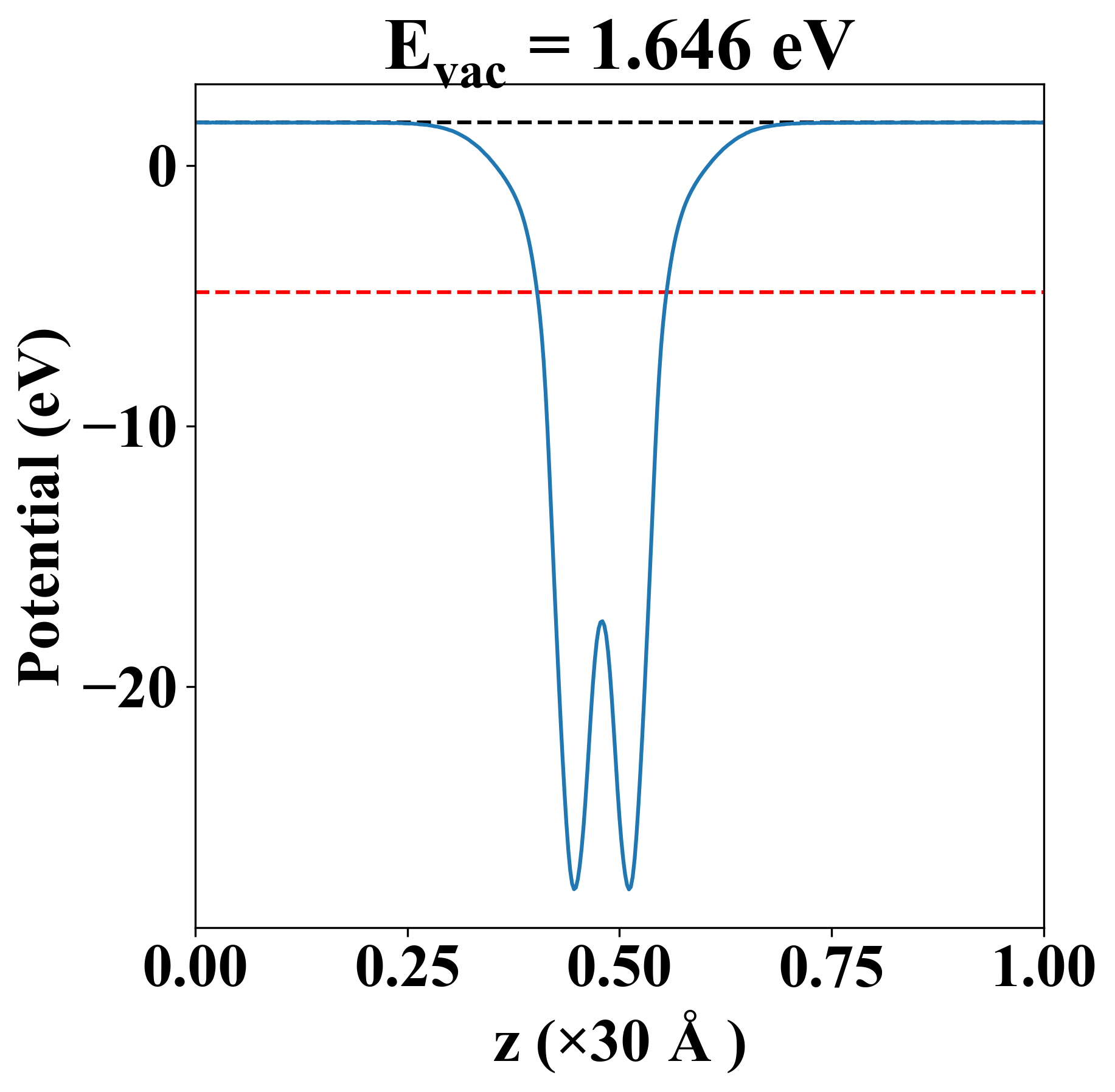
| Vacuum level |
1.646 eV |
| VBM |
-5.164 eV |
| CBM |
-2.552 eV |
| Work function |
6.506 eV |
| Direct gap |
No |
| Property |
Value |
| Band gap |
2.61 eV |
| E-fermi |
-4.860 eV |
| Vacuum level |
1.646 eV |
| VBM |
-5.164 eV |
| CBM |
-2.552 eV |
| Work function |
6.506 eV |
| Cij (N/m) |
xx |
yy |
xy |
| xx |
52.751 |
21.398 |
-0.000 |
| yy |
21.398 |
52.751 |
-0.000 |
| xy |
-0.000 |
-0.000 |
15.676 |
| Phonon mode at Γ point (THz) |
| -0.014 |
| -0.006 |
| -0.006 |
| 1.744 |
| 1.791 |
| 1.845 |
| 1.845 |
| 2.841 |
| 2.841 |
| 3.286 |
| 3.402 |
| 3.886 |
| 3.886 |
| 3.962 |
| 3.962 |
| 4.412 |
| 4.466 |
| 4.466 |
| 4.812 |
| 4.927 |
| 5.107 |
| 5.107 |
| 5.243 |
| 5.733 |
| 5.733 |
| 5.882 |
| 5.882 |
| 6.137 |
| 6.480 |
| 6.480 |
| 7.015 |
| 7.232 |
| 7.232 |
| 7.752 |
| 7.752 |
| 7.917 |
| 8.325 |
| 9.014 |
| 9.015 |
| 9.015 |
| 9.709 |
| 9.709 |
| 9.712 |
| 10.915 |
| 10.915 |
| 10.989 |
| 10.989 |
| 11.528 |
| 11.528 |
| 11.724 |
| 12.115 |
| 12.562 |
| 12.562 |
| 12.587 |
| 12.587 |
| 13.260 |
| 13.442 |
| 13.605 |
| 13.605 |
| 14.170 |
| 16.544 |
| 16.544 |
| 17.089 |
| 17.089 |
| 17.670 |
| 17.670 |
| 17.885 |
| 18.028 |
| 18.320 |
| 18.320 |
| 19.154 |
| 21.307 |
| 21.307 |
| 21.563 |
| 21.563 |
| 21.942 |
| 22.423 |
| 22.565 |
| Property |
Value |
| from where |
JVASP-27915 |