Ni2Te2
MatHub2d-887-Ni2Te2
| Property |
Value |
| Space group |
(187, 'P-6m2') |
| Crystal system |
hexagonal |
| Magnetic |
Yes |
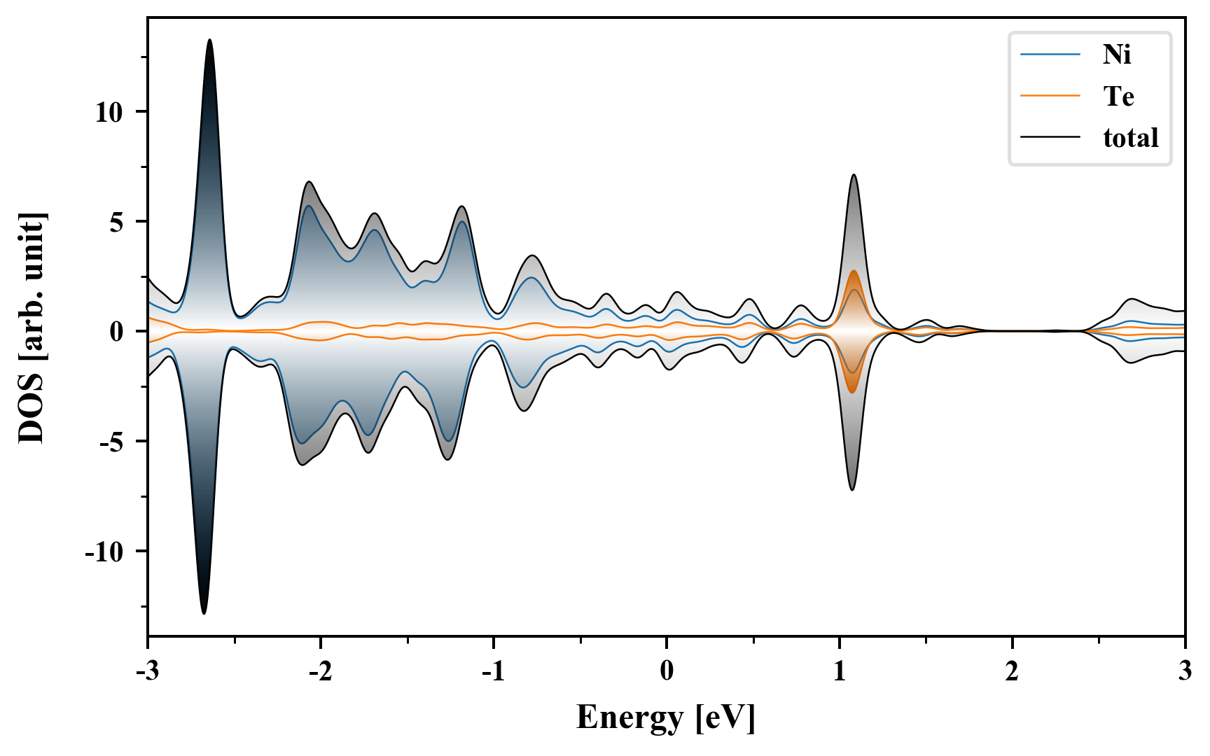
| Band gap (PBE) (eV) |
0.00 |
| Free energy (eV) |
-10.793 |
| Free energy / atom (eV) |
-2.698 |
Lattice Parameters (basic)
| a, b, c (Å): | 4.166 | 4.166 | 30.000 |
| α, β, γ (°): | 90.000 | 90.000 | 120.000 |
Lattice Parameters (computed)
| a, b, c (Å): | 4.149 | 4.149 | 30.000 |
| α, β, γ (°): | 90.000 | 90.000 | 120.000 |
| Property |
Value |
| Band gap |
0.00 eV |
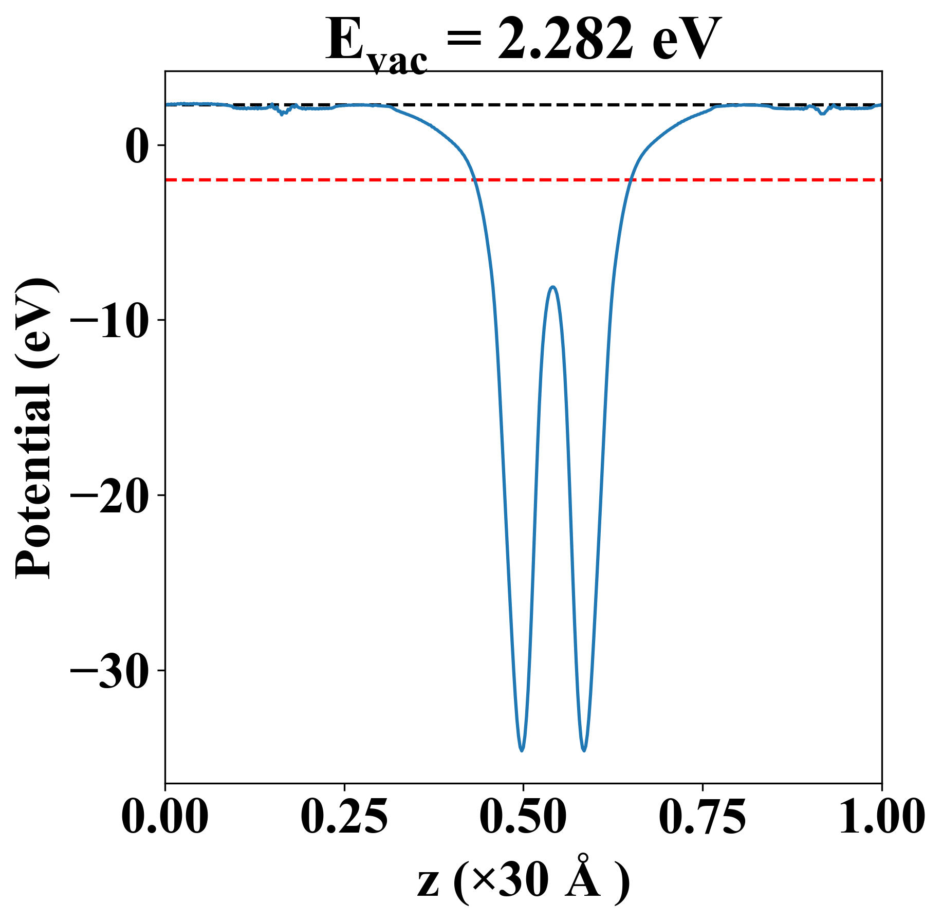
| E-fermi |
-2.000 eV |
| Vacuum level |
2.282 eV |
| VBM |
-2.001 eV |
| CBM |
-2.000 eV |
| Work function |
4.282 eV |
| Direct gap |
No |
| Property |
Value |
| Band gap |
0.00 eV |
| E-fermi |
-2.000 eV |
| Vacuum level |
2.282 eV |
| VBM |
-2.001 eV |
| CBM |
-2.000 eV |
| Work function |
4.282 eV |
| Cij (N/m) |
xx |
yy |
xy |
| xx |
75.523 |
63.717 |
-0.000 |
| yy |
63.717 |
75.523 |
0.000 |
| xy |
-0.000 |
0.000 |
5.903 |
| Phonon mode at Γ point (THz) |
| -0.024 |
| -0.002 |
| -0.002 |
| 0.911 |
| 0.911 |
| 3.006 |
| 3.974 |
| 7.224 |
| 7.449 |
| 7.449 |
| 7.839 |
| 7.839 |
| Property |
Value |
| from where |
c2db-1665 |