Ni2Se2
MatHub2d-886-Ni2Se2
| Property |
Value |
| Space group |
(187, 'P-6m2') |
| Crystal system |
hexagonal |
| Magnetic |
Yes |
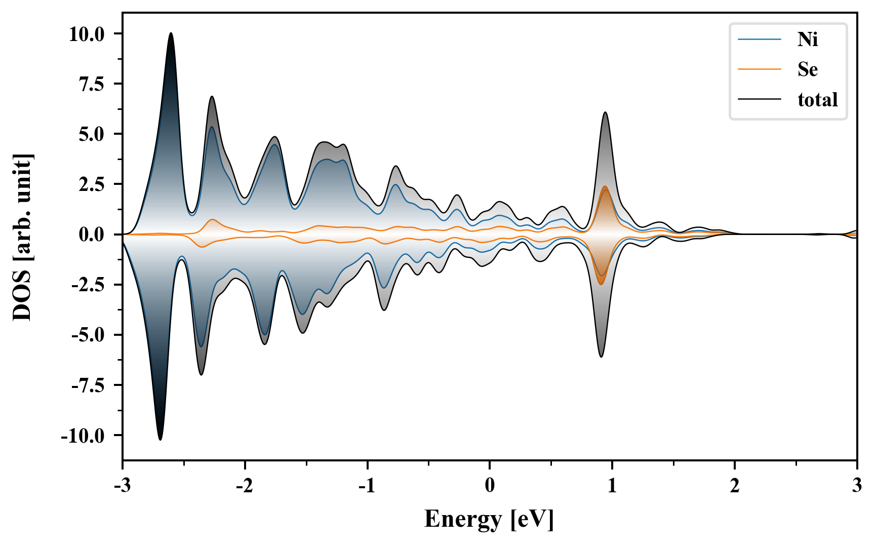
| Band gap (PBE) (eV) |
0.00 |
| Free energy (eV) |
-11.853 |
| Free energy / atom (eV) |
-2.963 |
Lattice Parameters (basic)
| a, b, c (Å): | 3.873 | 3.873 | 30.000 |
| α, β, γ (°): | 90.000 | 90.000 | 120.000 |
Lattice Parameters (computed)
| a, b, c (Å): | 3.836 | 3.836 | 30.000 |
| α, β, γ (°): | 90.000 | 90.000 | 120.000 |
| Property |
Value |
| Band gap |
0.00 eV |
| E-fermi |
-2.767 eV |
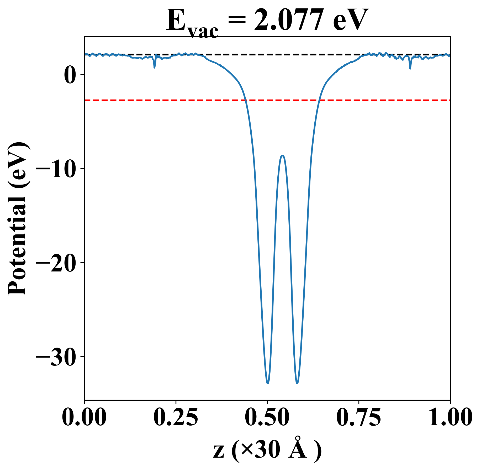
| Vacuum level |
2.077 eV |
| VBM |
-2.768 eV |
| CBM |
-2.766 eV |
| Work function |
4.844 eV |
| Direct gap |
No |
| Property |
Value |
| Band gap |
0.00 eV |
| E-fermi |
-2.767 eV |
| Vacuum level |
2.077 eV |
| VBM |
-2.768 eV |
| CBM |
-2.766 eV |
| Work function |
4.844 eV |
| Cij (N/m) |
xx |
yy |
xy |
| xx |
90.279 |
81.862 |
0.000 |
| yy |
81.862 |
90.279 |
-0.000 |
| xy |
0.000 |
-0.000 |
4.208 |
| Phonon mode at Γ point (THz) |
| -0.026 |
| -0.004 |
| -0.004 |
| 1.518 |
| 1.518 |
| 4.006 |
| 4.050 |
| 7.071 |
| 8.981 |
| 8.981 |
| 9.421 |
| 9.421 |
| Property |
Value |
| from where |
c2db-1664 |