Ni2Sb1Te2
MatHub2d-885-Ni2Sb1Te2
| Property |
Value |
| Space group |
(187, 'P-6m2') |
| Crystal system |
hexagonal |
| Magnetic |
Yes |
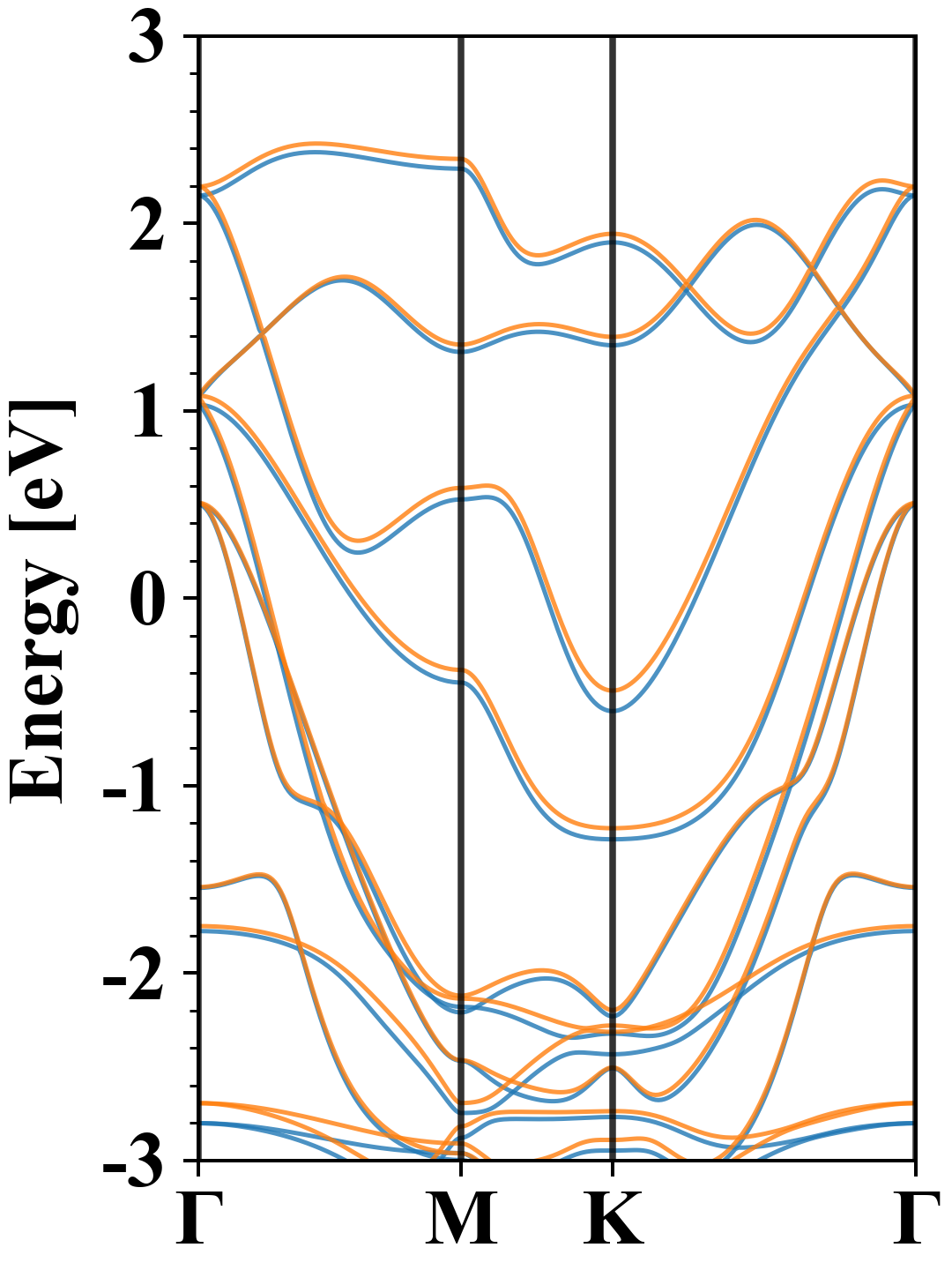
| Band gap (PBE) (eV) |
0.00 |
| Free energy (eV) |
-16.676 |
| Free energy / atom (eV) |
-3.335 |
Lattice Parameters (basic)
| a, b, c (Å): | 3.891 | 3.891 | 30.000 |
| α, β, γ (°): | 90.000 | 90.000 | 120.000 |
Lattice Parameters (computed)
| a, b, c (Å): | 3.833 | 3.833 | 30.000 |
| α, β, γ (°): | 90.000 | 90.000 | 120.000 |
| Property |
Value |
| Band gap |
0.00 eV |
| E-fermi |
-0.876 eV |
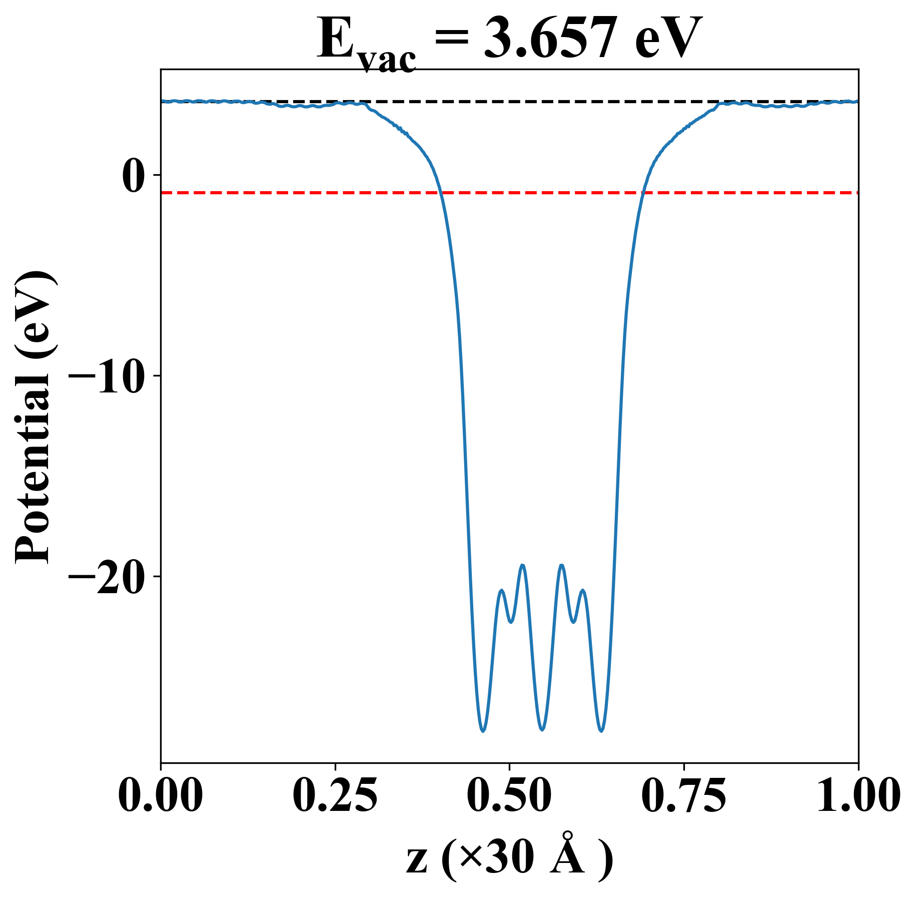
| Vacuum level |
3.657 eV |
| VBM |
-0.878 eV |
| CBM |
-0.875 eV |
| Work function |
4.533 eV |
| Direct gap |
No |
| Property |
Value |
| Band gap |
0.00 eV |
| E-fermi |
-0.876 eV |
| Vacuum level |
3.657 eV |
| VBM |
-0.878 eV |
| CBM |
-0.875 eV |
| Work function |
4.533 eV |
| Cij (N/m) |
xx |
yy |
xy |
| xx |
88.115 |
40.598 |
0.000 |
| yy |
40.598 |
88.115 |
-0.000 |
| xy |
0.000 |
-0.000 |
23.758 |
| Phonon mode at Γ point (THz) |
| -0.008 |
| -0.006 |
| -0.006 |
| 1.972 |
| 1.972 |
| 3.150 |
| 3.749 |
| 3.749 |
| 4.399 |
| 5.949 |
| 5.949 |
| 5.961 |
| 6.582 |
| 6.707 |
| 6.707 |
| Property |
Value |
| from where |
JVASP-13624 |