Ni2O2
MatHub2d-883-Ni2O2
| Property |
Value |
| Space group |
(187, 'P-6m2') |
| Crystal system |
hexagonal |
| Magnetic |
Yes |
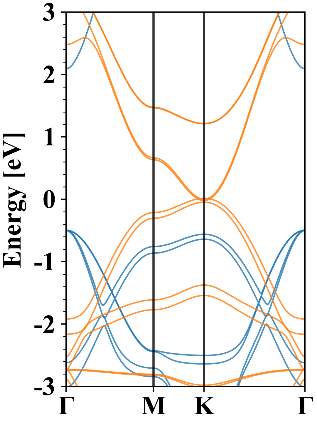
| Band gap (PBE) (eV) |
0.00 |
| Free energy (eV) |
-17.673 |
| Free energy / atom (eV) |
-4.418 |
Lattice Parameters (basic)
| a, b, c (Å): | 3.147 | 3.147 | 30.000 |
| α, β, γ (°): | 90.000 | 90.000 | 120.000 |
Lattice Parameters (computed)
| a, b, c (Å): | 3.210 | 3.210 | 30.000 |
| α, β, γ (°): | 90.000 | 90.000 | 120.000 |
| Property |
Value |
| Band gap |
0.00 eV |
| E-fermi |
-3.728 eV |
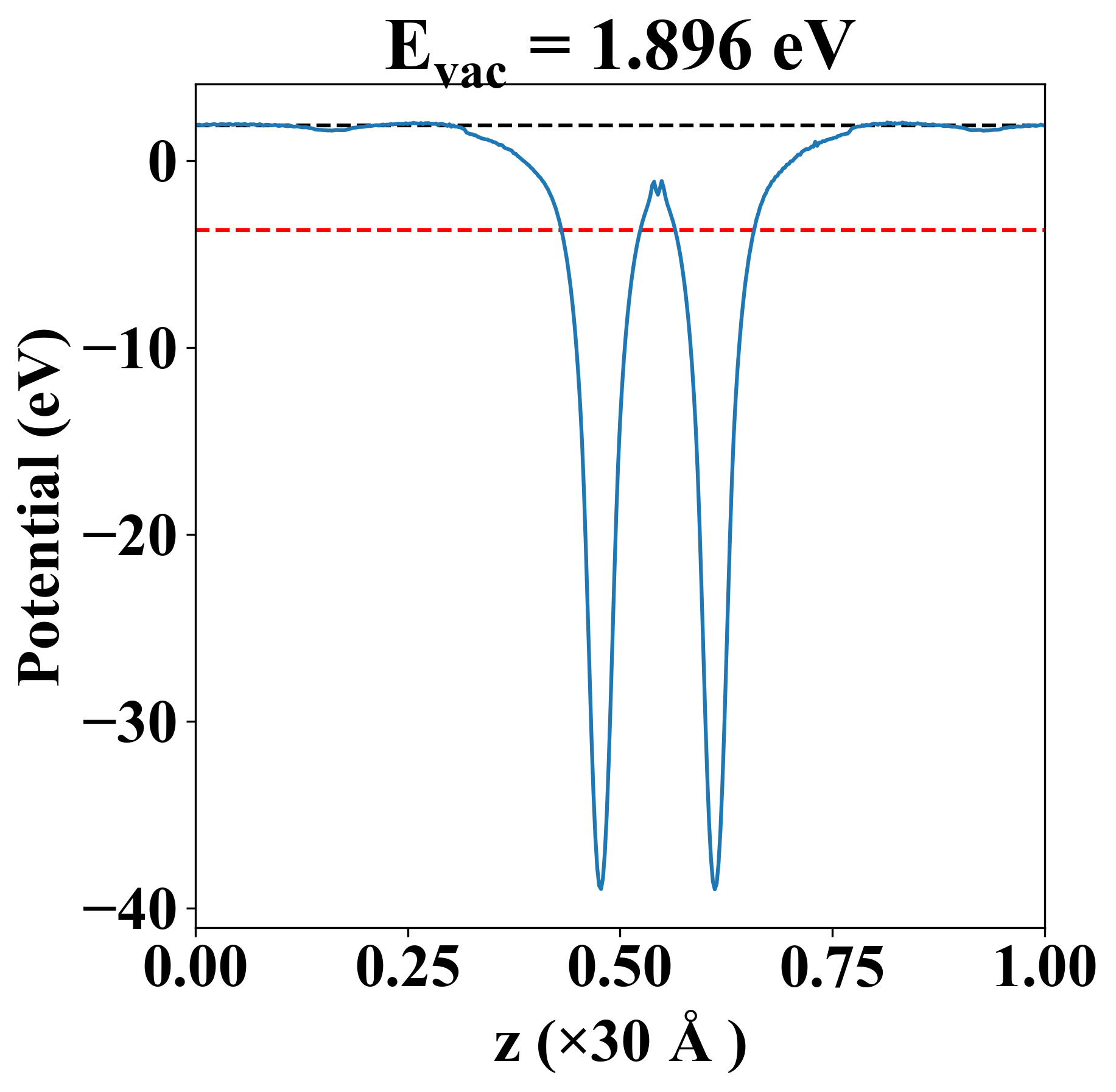
| Vacuum level |
1.896 eV |
| VBM |
-3.728 eV |
| CBM |
-3.728 eV |
| Work function |
5.624 eV |
| Direct gap |
No |
| Property |
Value |
| Band gap |
0.00 eV |
| E-fermi |
-3.728 eV |
| Vacuum level |
1.896 eV |
| VBM |
-3.728 eV |
| CBM |
-3.728 eV |
| Work function |
5.624 eV |
| Cij (N/m) |
xx |
yy |
xy |
| xx |
151.194 |
121.656 |
0.000 |
| yy |
121.656 |
151.194 |
-0.000 |
| xy |
0.000 |
-0.000 |
14.769 |
| Phonon mode at Γ point (THz) |
| -0.785 |
| -0.325 |
| -0.325 |
| -0.030 |
| -0.005 |
| -0.005 |
| 5.102 |
| 5.187 |
| 13.843 |
| 13.843 |
| 13.856 |
| 13.856 |
| Property |
Value |
| from where |
c2db-1661 |