Ni1Te2
MatHub2d-882-Ni1Te2
| Property |
Value |
| Space group |
(187, 'P-6m2') |
| Crystal system |
hexagonal |
| Magnetic |
Yes |
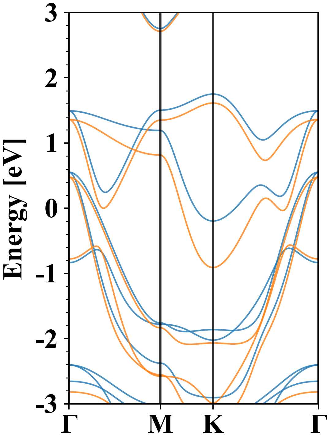
| Band gap (PBE) (eV) |
0.00 |
| Free energy (eV) |
-8.993 |
| Free energy / atom (eV) |
-2.998 |
Lattice Parameters (basic)
| a, b, c (Å): | 3.715 | 3.715 | 30.000 |
| α, β, γ (°): | 90.000 | 90.000 | 120.000 |
Lattice Parameters (computed)
| a, b, c (Å): | 3.745 | 3.745 | 30.000 |
| α, β, γ (°): | 90.000 | 90.000 | 120.000 |
| Property |
Value |
| Band gap |
0.00 eV |
| E-fermi |
-1.525 eV |
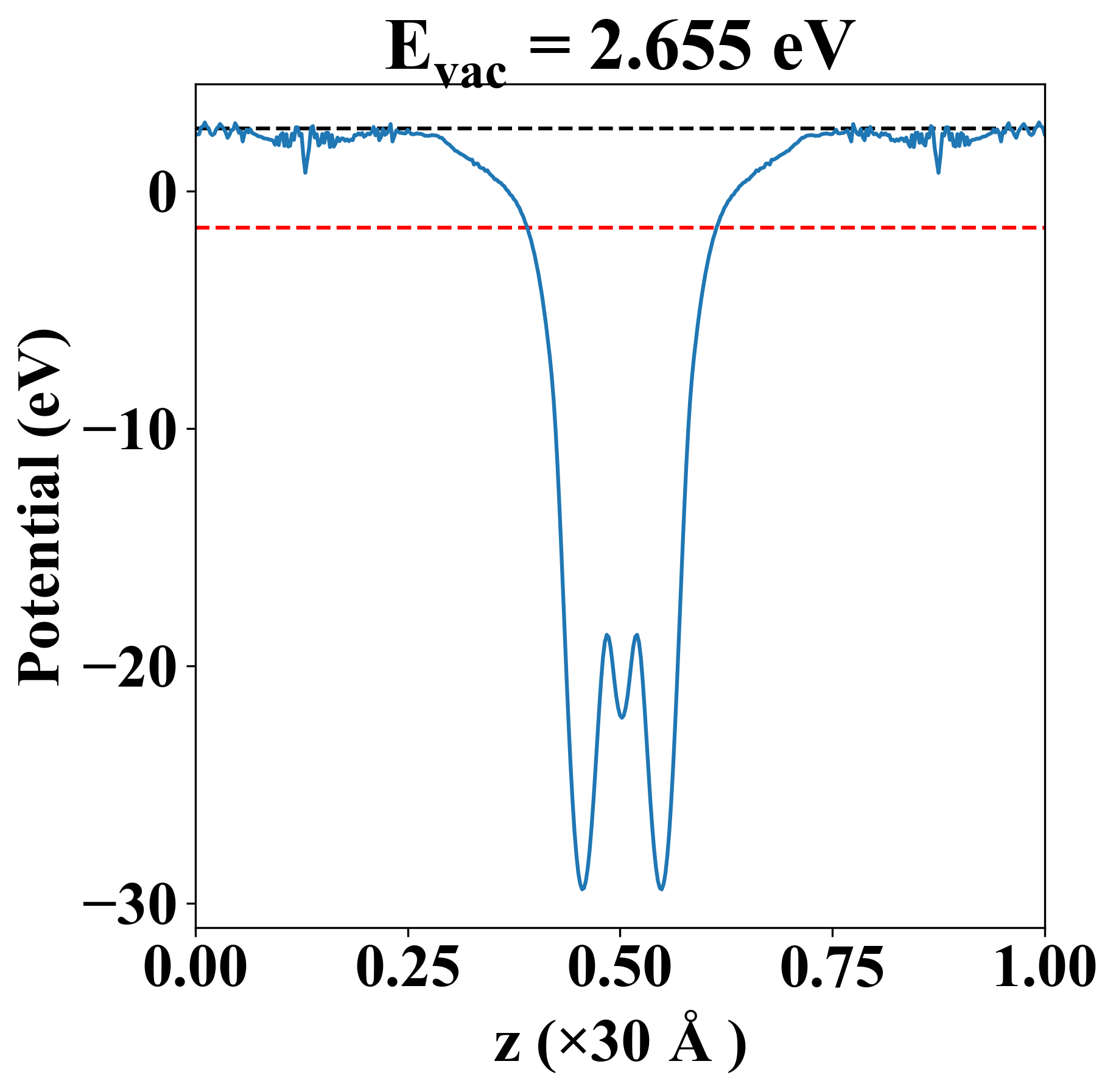
| Vacuum level |
2.655 eV |
| VBM |
-1.525 eV |
| CBM |
-1.525 eV |
| Work function |
4.180 eV |
| Direct gap |
No |
| Property |
Value |
| Band gap |
0.00 eV |
| E-fermi |
-1.525 eV |
| Vacuum level |
2.655 eV |
| VBM |
-1.525 eV |
| CBM |
-1.525 eV |
| Work function |
4.180 eV |
| Cij (N/m) |
xx |
yy |
xy |
| xx |
44.000 |
13.195 |
0.000 |
| yy |
13.195 |
44.000 |
-0.000 |
| xy |
0.000 |
-0.000 |
15.402 |
| Phonon mode at Γ point (THz) |
| -0.008 |
| -0.002 |
| -0.002 |
| 2.650 |
| 2.650 |
| 5.198 |
| 5.261 |
| 5.930 |
| 5.930 |
| Property |
Value |
| from where |
c2db-552 |