Ni1Te2
MatHub2d-881-Ni1Te2
| Property |
Value |
| Space group |
(164, 'P-3m1') |
| Crystal system |
hexagonal |
| Magnetic |
Yes |
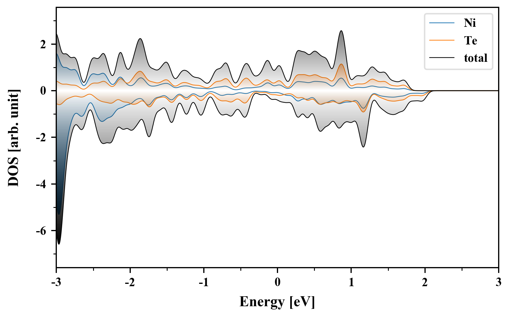
| Band gap (PBE) (eV) |
0.00 |
| Free energy (eV) |
-9.193 |
| Free energy / atom (eV) |
-3.064 |
Lattice Parameters (basic)
| a, b, c (Å): | 3.800 | 3.800 | 30.000 |
| α, β, γ (°): | 90.000 | 90.000 | 120.000 |
Lattice Parameters (computed)
| a, b, c (Å): | 3.695 | 3.695 | 30.000 |
| α, β, γ (°): | 90.000 | 90.000 | 120.000 |
| Property |
Value |
| Band gap |
0.00 eV |
| E-fermi |
-1.936 eV |
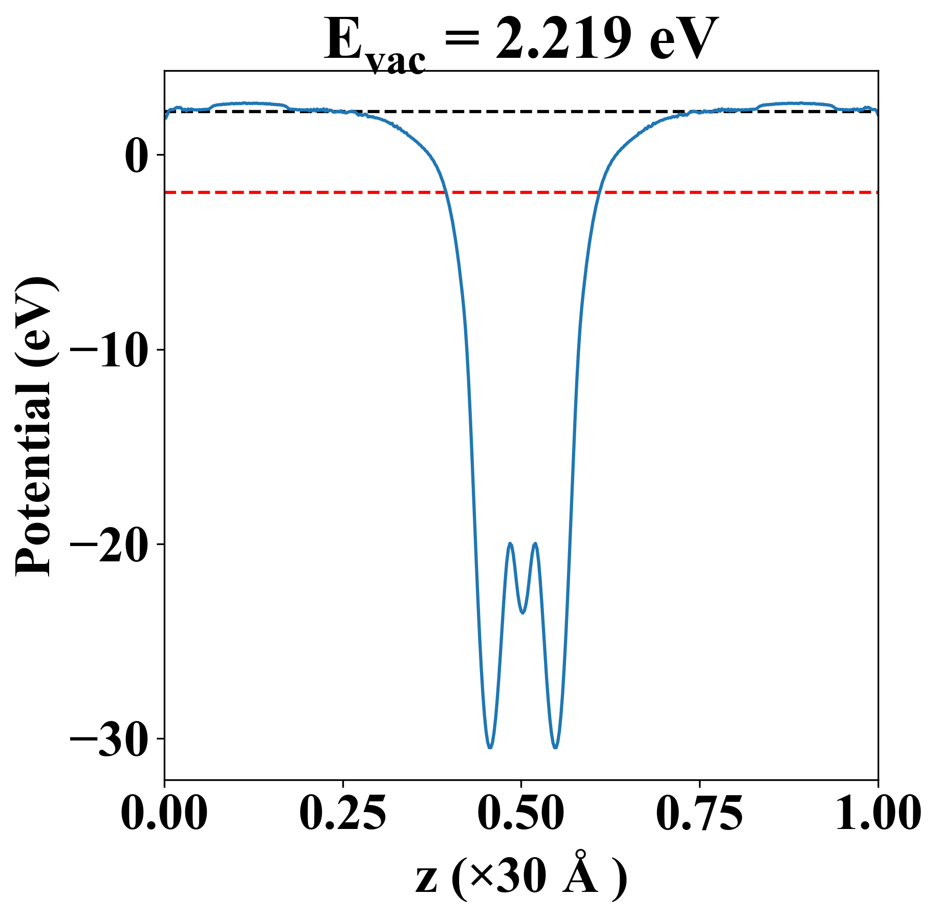
| Vacuum level |
2.219 eV |
| VBM |
-1.938 eV |
| CBM |
-1.935 eV |
| Work function |
4.155 eV |
| Direct gap |
No |
| Property |
Value |
| Band gap |
0.00 eV |
| E-fermi |
-1.936 eV |
| Vacuum level |
2.219 eV |
| VBM |
-1.938 eV |
| CBM |
-1.935 eV |
| Work function |
4.155 eV |
| Cij (N/m) |
xx |
yy |
xy |
| xx |
36.281 |
4.162 |
-0.000 |
| yy |
4.162 |
36.281 |
-0.000 |
| xy |
-0.000 |
-0.000 |
16.060 |
| Phonon mode at Γ point (THz) |
| -0.007 |
| -0.006 |
| -0.006 |
| 3.089 |
| 3.089 |
| 3.885 |
| 6.891 |
| 6.891 |
| 7.086 |
| Property |
Value |
| from where |
shu-47 |