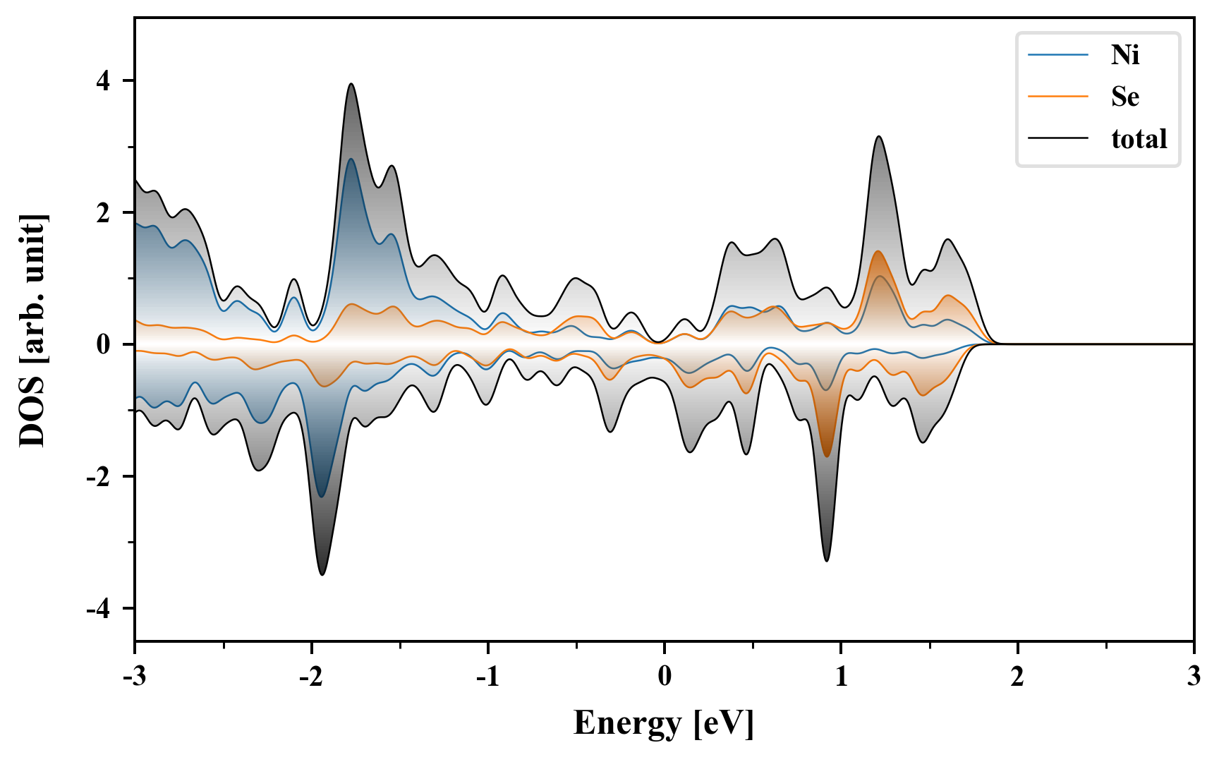
Ni1Se2
MatHub2d-880-Ni1Se2
| Property |
Value |
| Space group |
(187, 'P-6m2') |
| Crystal system |
hexagonal |
| Magnetic |
Yes |
| Band gap (PBE) (eV) |
0.00 |
| Free energy (eV) |
-9.823 |
| Free energy / atom (eV) |
-3.274 |
Lattice Parameters (basic)
| a, b, c (Å): | 3.507 | 3.507 | 30.000 |
| α, β, γ (°): | 90.000 | 90.000 | 120.000 |
Lattice Parameters (computed)
| a, b, c (Å): | 3.520 | 3.520 | 30.000 |
| α, β, γ (°): | 90.000 | 90.000 | 120.000 |
| Property |
Value |
| Band gap |
0.00 eV |
| E-fermi |
-2.393 eV |
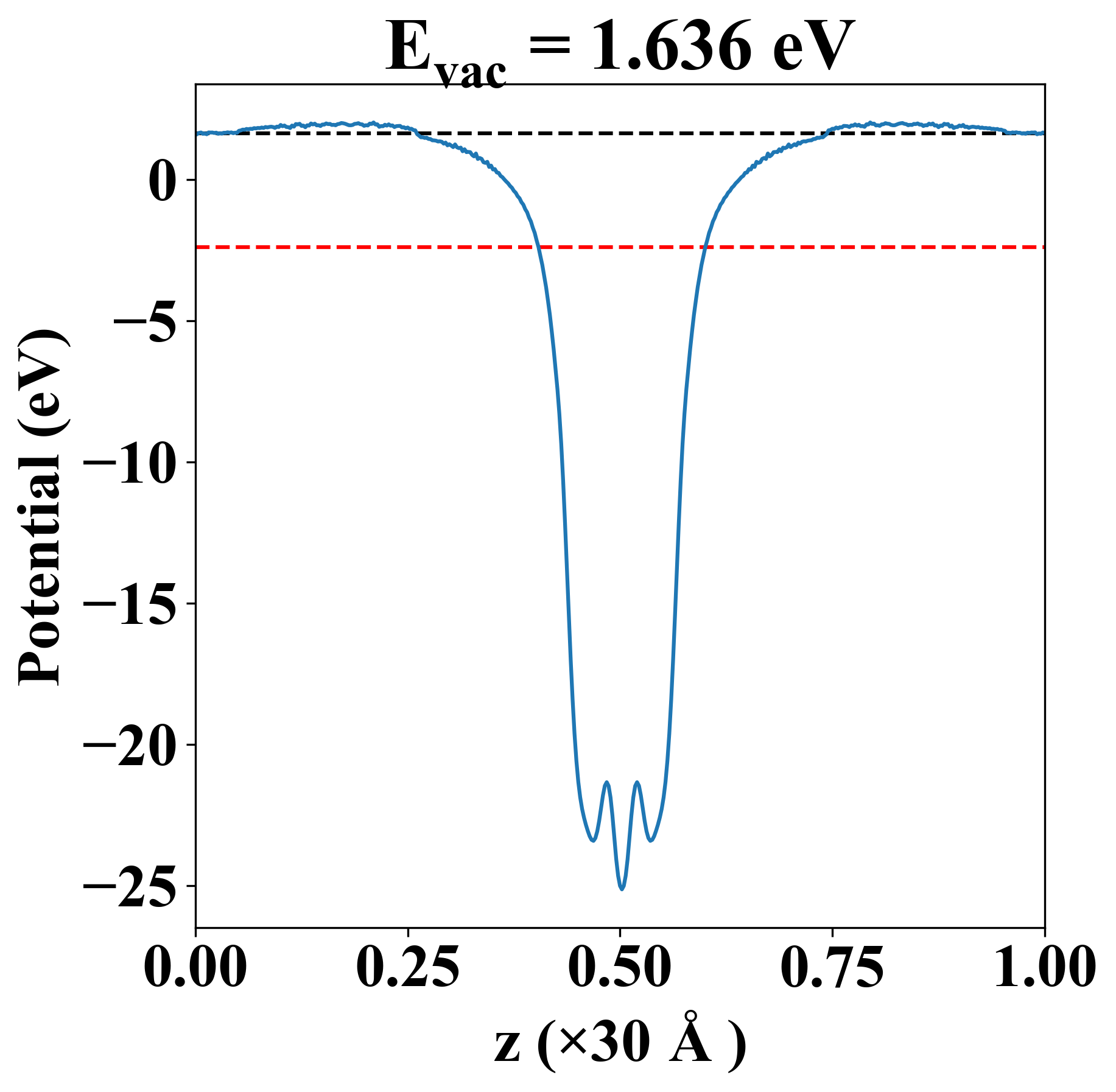
| Vacuum level |
1.636 eV |
| VBM |
-2.394 eV |
| CBM |
-2.392 eV |
| Work function |
4.029 eV |
| Direct gap |
No |
| Property |
Value |
| Band gap |
0.00 eV |
| E-fermi |
-2.393 eV |
| Vacuum level |
1.636 eV |
| VBM |
-2.394 eV |
| CBM |
-2.392 eV |
| Work function |
4.029 eV |
| Cij (N/m) |
xx |
yy |
xy |
| xx |
36.392 |
6.843 |
0.000 |
| yy |
6.843 |
36.392 |
-0.000 |
| xy |
0.000 |
-0.000 |
14.774 |
| Phonon mode at Γ point (THz) |
| -0.007 |
| -0.006 |
| -0.006 |
| 3.776 |
| 3.776 |
| 5.799 |
| 6.277 |
| 6.613 |
| 6.613 |
| Property |
Value |
| from where |
c2db-550 |