Ni1Se2
MatHub2d-879-Ni1Se2
| Property |
Value |
| Space group |
(164, 'P-3m1') |
| Crystal system |
hexagonal |
| Magnetic |
|
| Band gap (PBE) (eV) |
0.00 |
| Free energy (eV) |
-10.161 |
| Free energy / atom (eV) |
-3.387 |
Lattice Parameters (basic)
| a, b, c (Å): | 3.542 | 3.542 | 30.000 |
| α, β, γ (°): | 90.000 | 90.000 | 120.000 |
Lattice Parameters (computed)
| a, b, c (Å): | 3.495 | 3.495 | 30.000 |
| α, β, γ (°): | 90.000 | 90.000 | 120.000 |
| Property |
Value |
| Band gap |
0.00 eV |
| E-fermi |
-3.037 eV |
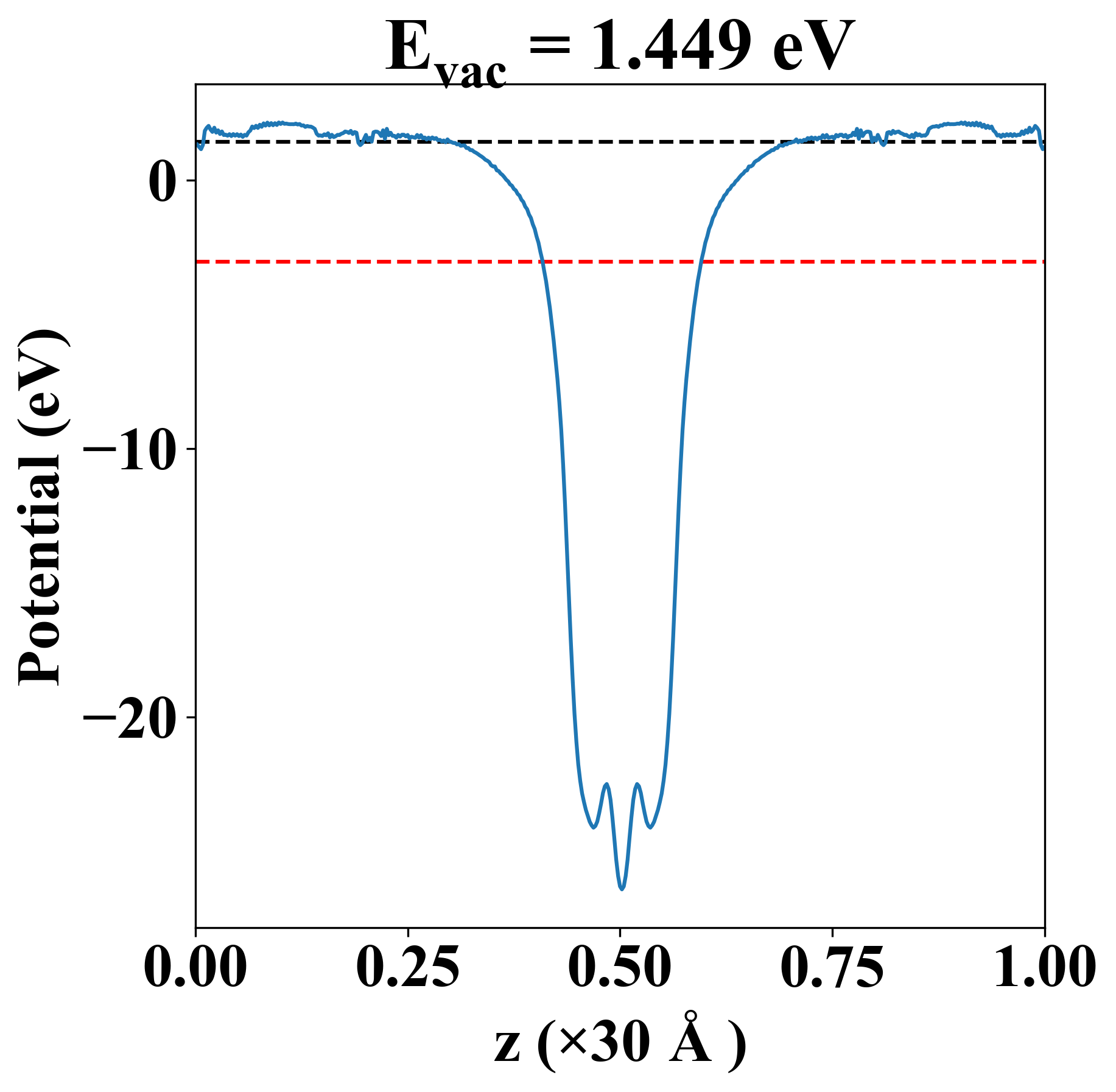
| Vacuum level |
1.449 eV |
| VBM |
-3.037 eV |
| CBM |
-3.036 eV |
| Work function |
4.485 eV |
| Direct gap |
No |
| Property |
Value |
| Band gap |
0.00 eV |
| E-fermi |
-3.037 eV |
| Vacuum level |
1.449 eV |
| VBM |
-3.037 eV |
| CBM |
-3.036 eV |
| Work function |
4.485 eV |
| Cij (N/m) |
xx |
yy |
xy |
| xx |
52.731 |
17.466 |
-0.000 |
| yy |
17.466 |
52.731 |
0.000 |
| xy |
-0.000 |
0.000 |
17.632 |
| Phonon mode at Γ point (THz) |
| -0.009 |
| -0.009 |
| -0.005 |
| 4.458 |
| 4.458 |
| 5.500 |
| 8.361 |
| 8.361 |
| 8.729 |
| Property |
Value |
| from where |
c2db-549 |