Ni1S2
MatHub2d-878-Ni1S2
| Property |
Value |
| Space group |
(187, 'P-6m2') |
| Crystal system |
hexagonal |
| Magnetic |
|
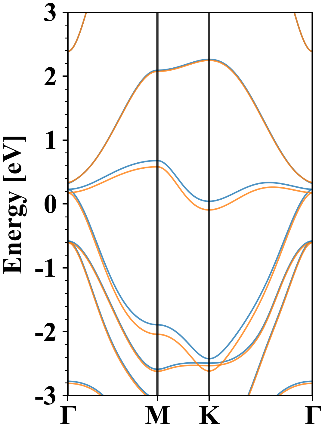
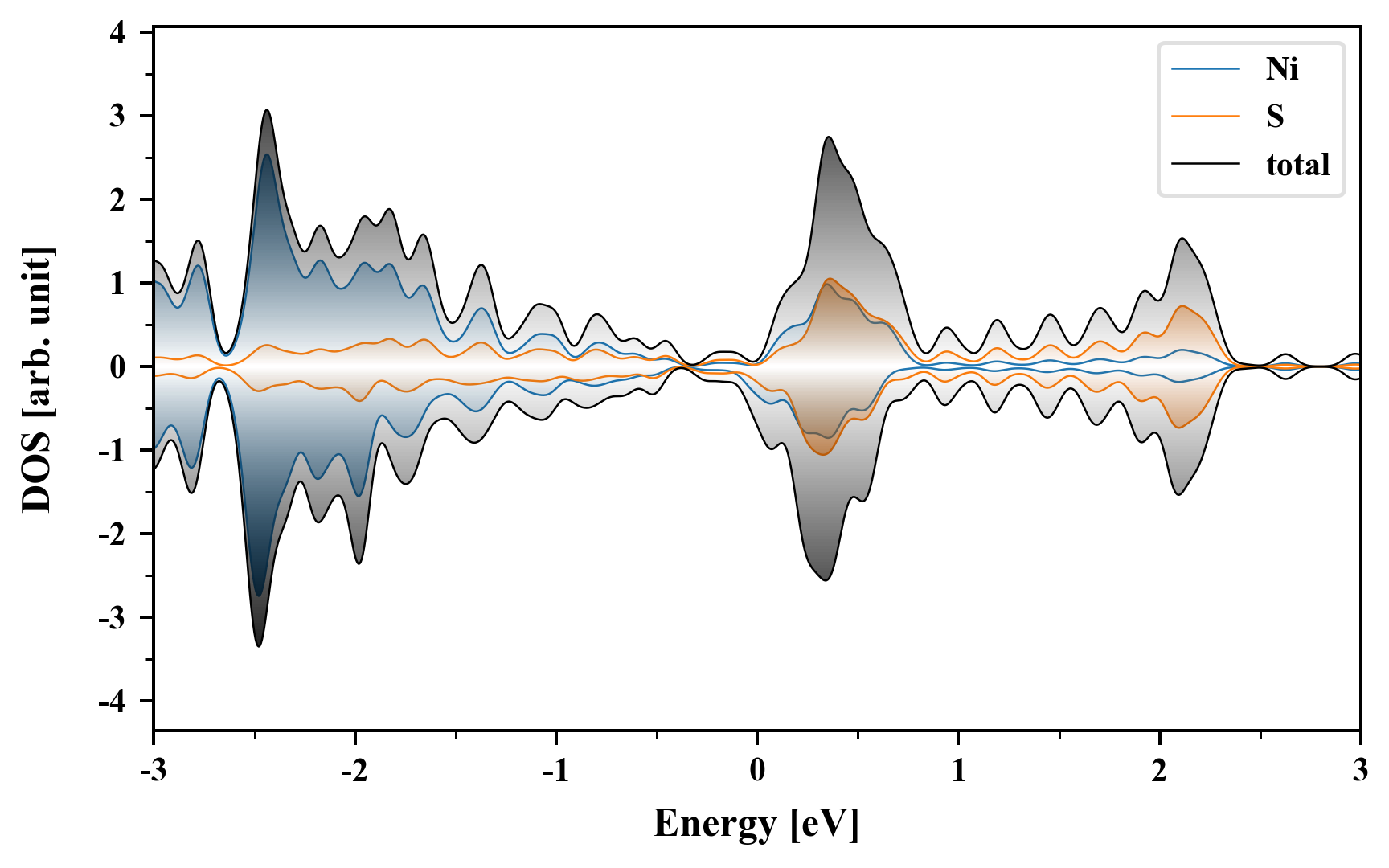
| Band gap (PBE) (eV) |
0.00 |
| Free energy (eV) |
-11.122 |
| Free energy / atom (eV) |
-3.707 |
Lattice Parameters (basic)
| a, b, c (Å): | 3.542 | 3.542 | 30.000 |
| α, β, γ (°): | 90.000 | 90.000 | 120.000 |
Lattice Parameters (computed)
| a, b, c (Å): | 3.500 | 3.500 | 30.000 |
| α, β, γ (°): | 90.000 | 90.000 | 120.000 |
| Property |
Value |
| Band gap |
0.00 eV |
| E-fermi |
-2.026 eV |
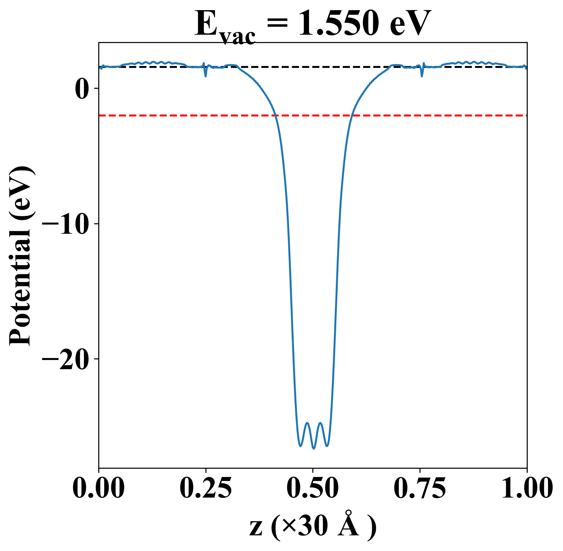
| Vacuum level |
1.550 eV |
| VBM |
-2.030 eV |
| CBM |
-2.025 eV |
| Work function |
3.576 eV |
| Direct gap |
No |
| Property |
Value |
| Band gap |
0.00 eV |
| E-fermi |
-2.026 eV |
| Vacuum level |
1.550 eV |
| VBM |
-2.030 eV |
| CBM |
-2.025 eV |
| Work function |
3.576 eV |
| Cij (N/m) |
xx |
yy |
xy |
| xx |
61.184 |
32.227 |
-0.000 |
| yy |
32.227 |
61.184 |
0.000 |
| xy |
-0.000 |
0.000 |
14.479 |
| Phonon mode at Γ point (THz) |
| -0.024 |
| -0.024 |
| -0.011 |
| 4.534 |
| 5.333 |
| 5.333 |
| 6.237 |
| 6.237 |
| 13.864 |
| Property |
Value |
| from where |
c2db-548 |