Ni1S2
MatHub2d-877-Ni1S2
| Property |
Value |
| Space group |
(164, 'P-3m1') |
| Crystal system |
hexagonal |
| Magnetic |
No |
| Band gap (PBE) (eV) |
0.39 |
| Free energy (eV) |
-11.349 |
| Free energy / atom (eV) |
-3.783 |
Lattice Parameters (basic)
| a, b, c (Å): | 3.354 | 3.354 | 30.000 |
| α, β, γ (°): | 90.000 | 90.000 | 120.000 |
Lattice Parameters (computed)
| a, b, c (Å): | 3.311 | 3.311 | 30.000 |
| α, β, γ (°): | 90.000 | 90.000 | 120.000 |
| Property |
Value |
| Band gap |
0.39 eV |
| E-fermi |
-3.454 eV |
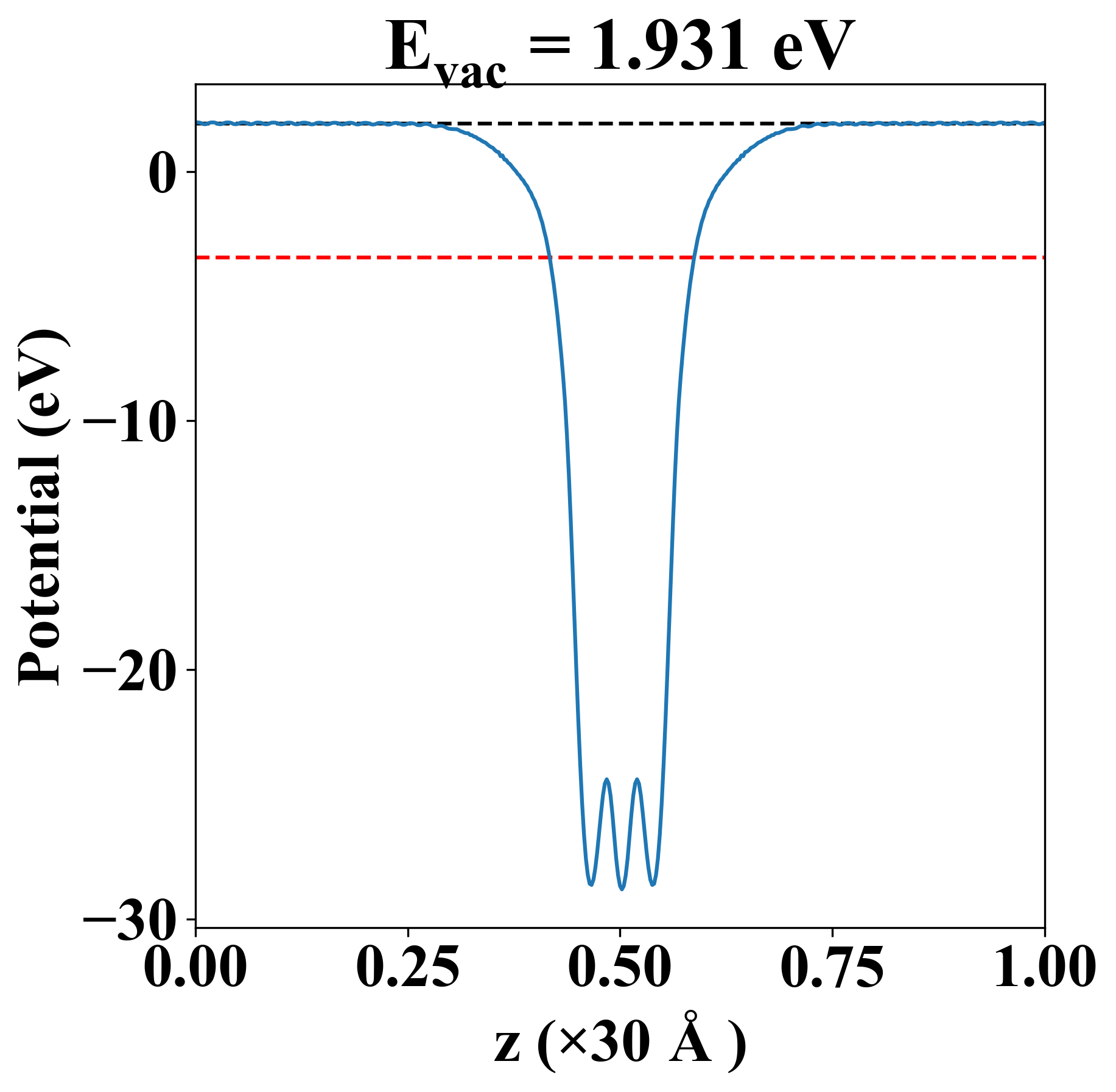
| Vacuum level |
1.931 eV |
| VBM |
-3.649 eV |
| CBM |
-3.261 eV |
| Work function |
5.385 eV |
| Direct gap |
No |
| Property |
Value |
| Band gap |
0.34 eV |
| E-fermi |
-3.430 eV |
| VBM |
-3.599 eV |
| CBM |
-3.258 eV |
| Free energy (eV) |
-11.360 |
| Free energy / atom (eV) |
-3.787 |
| Property |
Value |
| Band gap |
0.39 eV |
| E-fermi |
-3.454 eV |
| Vacuum level |
1.931 eV |
| VBM |
-3.649 eV |
| CBM |
-3.261 eV |
| Work function |
5.385 eV |
| Cij (N/m) |
xx |
yy |
xy |
| xx |
84.560 |
24.659 |
0.000 |
| yy |
24.659 |
84.560 |
-0.000 |
| xy |
0.000 |
-0.000 |
29.951 |
| Phonon mode at Γ point (THz) |
| -0.008 |
| -0.007 |
| -0.007 |
| 8.051 |
| 8.051 |
| 9.578 |
| 10.834 |
| 10.834 |
| 11.292 |
| Property |
Value |
| from where |
c2db-547 |