Ni1O2
MatHub2d-876-Ni1O2
| Property |
Value |
| Space group |
(187, 'P-6m2') |
| Crystal system |
hexagonal |
| Magnetic |
Yes |
| Band gap (PBE) (eV) |
0.00 |
| Free energy (eV) |
-12.345 |
| Free energy / atom (eV) |
-4.115 |
Lattice Parameters (basic)
| a, b, c (Å): | 2.795 | 2.795 | 30.000 |
| α, β, γ (°): | 90.000 | 90.000 | 120.000 |
Lattice Parameters (computed)
| a, b, c (Å): | 2.813 | 2.813 | 30.000 |
| α, β, γ (°): | 90.000 | 90.000 | 120.000 |
| Property |
Value |
| Band gap |
0.00 eV |
| E-fermi |
-6.536 eV |
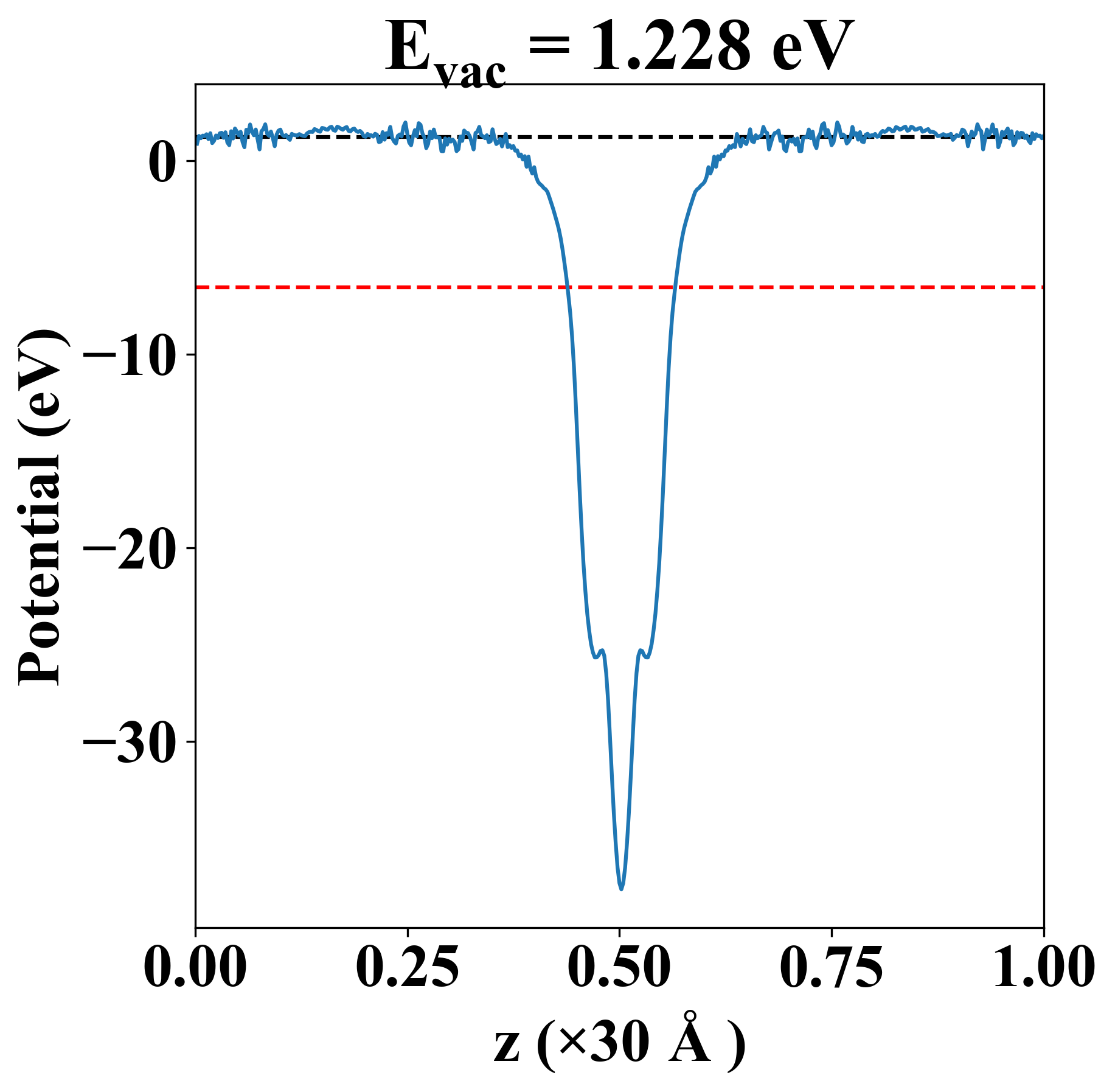
| Vacuum level |
1.228 eV |
| VBM |
-6.537 eV |
| CBM |
-6.535 eV |
| Work function |
7.764 eV |
| Direct gap |
No |
| Property |
Value |
| Band gap |
0.00 eV |
| E-fermi |
-6.536 eV |
| Vacuum level |
1.228 eV |
| VBM |
-6.537 eV |
| CBM |
-6.535 eV |
| Work function |
7.764 eV |
| Cij (N/m) |
xx |
yy |
xy |
| xx |
95.451 |
35.615 |
-0.000 |
| yy |
35.615 |
95.451 |
0.000 |
| xy |
-0.000 |
0.000 |
29.918 |
| Phonon mode at Γ point (THz) |
| -8.703 |
| -8.703 |
| -0.017 |
| 0.039 |
| 0.039 |
| 3.534 |
| 3.534 |
| 10.196 |
| 16.212 |
| Property |
Value |
| from where |
c2db-546 |