Ni1O2
MatHub2d-875-Ni1O2
| Property |
Value |
| Space group |
(164, 'P-3m1') |
| Crystal system |
hexagonal |
| Magnetic |
No |
| Band gap (PBE) (eV) |
1.69 |
| Free energy (eV) |
-14.646 |
| Free energy / atom (eV) |
-4.882 |
Lattice Parameters (basic)
| a, b, c (Å): | 2.813 | 2.813 | 30.000 |
| α, β, γ (°): | 90.000 | 90.000 | 120.000 |
Lattice Parameters (computed)
| a, b, c (Å): | 2.799 | 2.799 | 30.000 |
| α, β, γ (°): | 90.000 | 90.000 | 120.000 |
| Property |
Value |
| Band gap |
1.69 eV |
| E-fermi |
-6.780 eV |
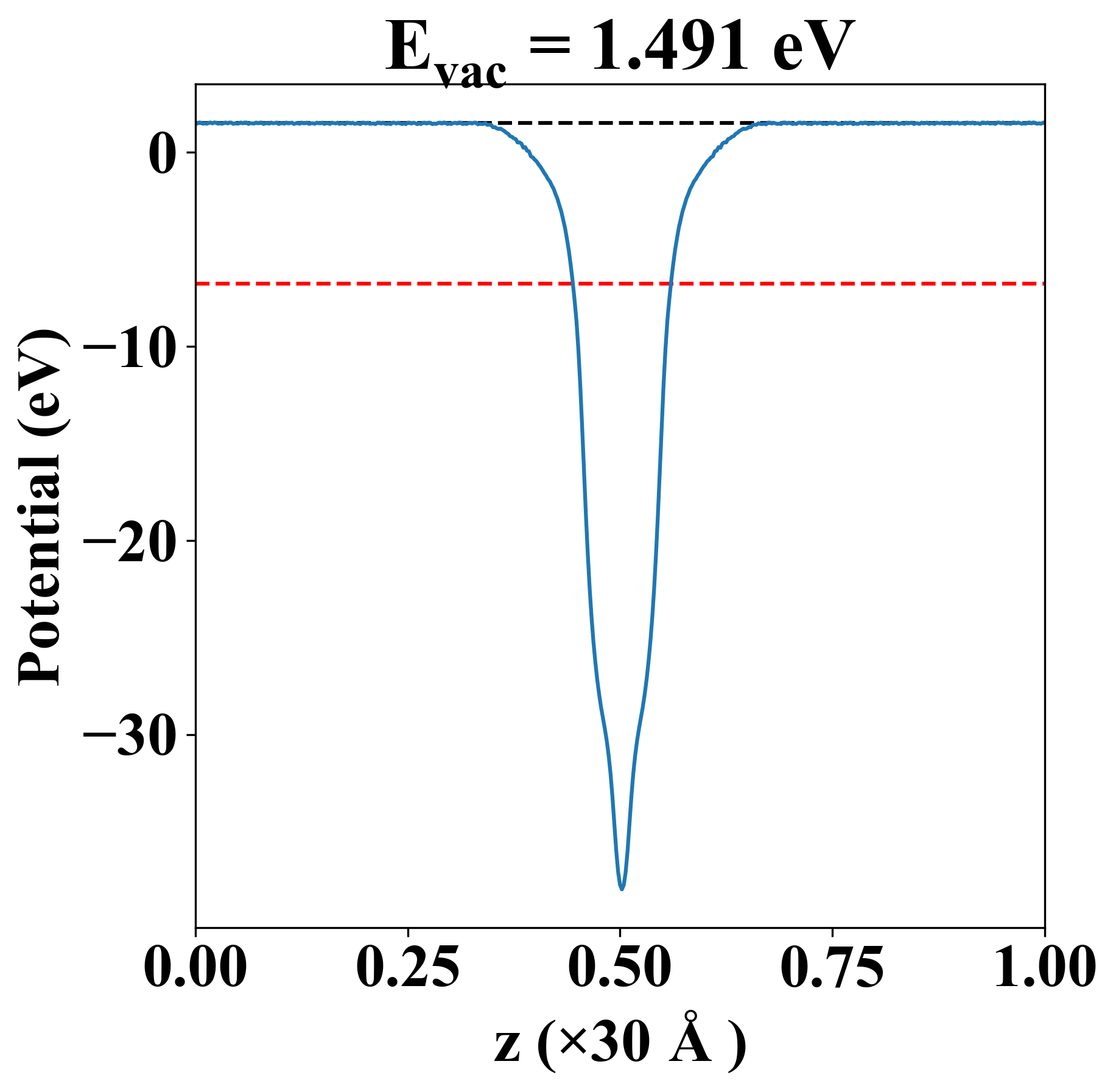
| Vacuum level |
1.491 eV |
| VBM |
-7.063 eV |
| CBM |
-5.371 eV |
| Work function |
8.271 eV |
| Direct gap |
No |
| Property |
Value |
| Band gap |
1.69 eV |
| E-fermi |
-6.780 eV |
| Vacuum level |
1.491 eV |
| VBM |
-7.063 eV |
| CBM |
-5.371 eV |
| Work function |
8.271 eV |
| Cij (N/m) |
xx |
yy |
xy |
| xx |
146.680 |
34.993 |
0.000 |
| yy |
34.993 |
146.680 |
-0.000 |
| xy |
0.000 |
-0.000 |
55.844 |
| Phonon mode at Γ point (THz) |
| -0.007 |
| -0.007 |
| 0.001 |
| 14.810 |
| 14.810 |
| 16.907 |
| 17.277 |
| 17.277 |
| 19.435 |
| Property |
Value |
| from where |
shu-45 |