Nb2Te2
MatHub2d-874-Nb2Te2
| Property |
Value |
| Space group |
(187, 'P-6m2') |
| Crystal system |
hexagonal |
| Magnetic |
Yes |
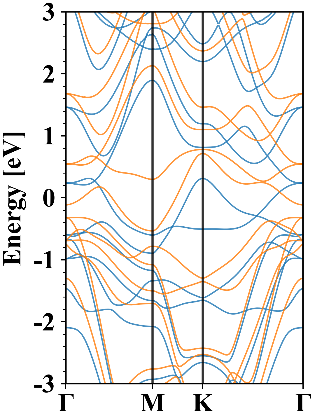
| Band gap (PBE) (eV) |
0.00 |
| Free energy (eV) |
-22.119 |
| Free energy / atom (eV) |
-5.530 |
Lattice Parameters (basic)
| a, b, c (Å): | 3.420 | 3.420 | 30.000 |
| α, β, γ (°): | 90.000 | 90.000 | 120.000 |
Lattice Parameters (computed)
| a, b, c (Å): | 3.448 | 3.448 | 30.000 |
| α, β, γ (°): | 90.000 | 90.000 | 120.000 |
| Property |
Value |
| Band gap |
0.00 eV |
| E-fermi |
-0.244 eV |
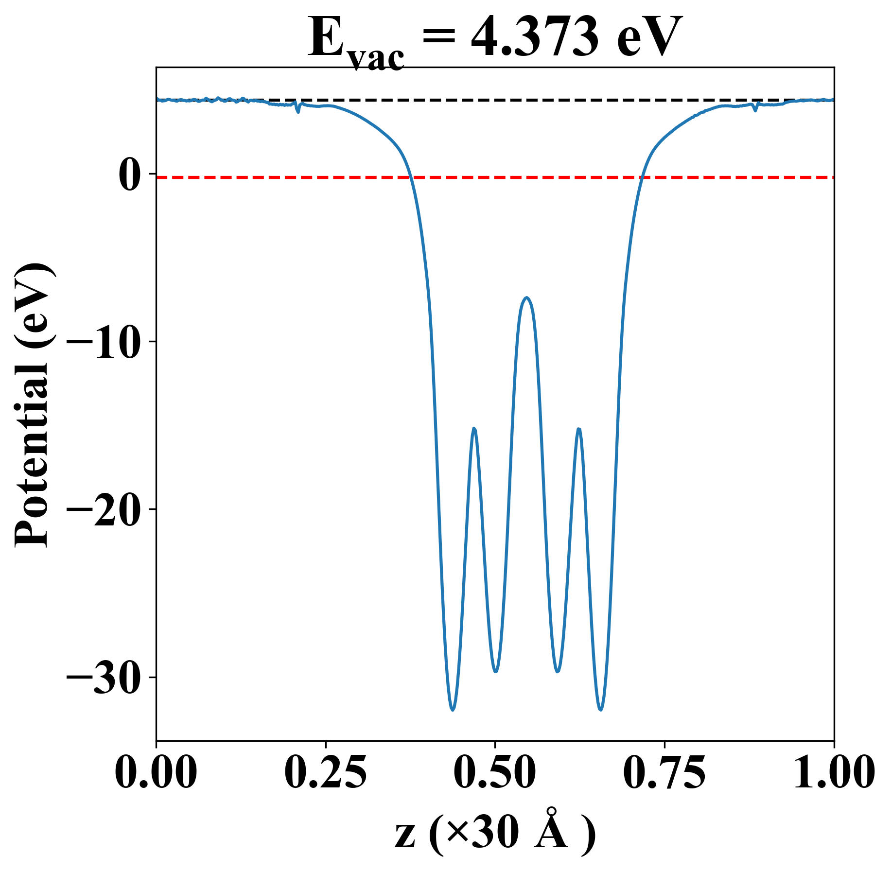
| Vacuum level |
4.373 eV |
| VBM |
-0.245 eV |
| CBM |
-0.243 eV |
| Work function |
4.617 eV |
| Direct gap |
No |
| Property |
Value |
| Band gap |
0.00 eV |
| E-fermi |
-0.244 eV |
| Vacuum level |
4.373 eV |
| VBM |
-0.245 eV |
| CBM |
-0.243 eV |
| Work function |
4.617 eV |
| Cij (N/m) |
xx |
yy |
xy |
| xx |
56.027 |
-20.913 |
-0.000 |
| yy |
-20.913 |
56.027 |
-0.000 |
| xy |
-0.000 |
-0.000 |
38.470 |
| Phonon mode at Γ point (THz) |
| -2.377 |
| -2.377 |
| -0.000 |
| -0.000 |
| 0.001 |
| 2.499 |
| 3.841 |
| 3.841 |
| 4.328 |
| 4.328 |
| 6.181 |
| 7.366 |
| Property |
Value |
| from where |
c2db-1659 |